Please wait a minute...
欢迎访问《植物研究》杂志官方网站,今天是 分享到:

当期目录

    2021年 第41卷 第5期    刊出日期:2021-09-20
    植物新类群
    中国植被分类系统改进及命名探讨
    郎学东, 刘万德, 刘娇, 苏建荣
    2021, 41(5):  641-659.  doi:10.7525/j.issn.1673-5102.2021.05.001
    摘要 ( 2294 )   HTML ( 86)   PDF (3078KB) ( 1289 )  
    数据和表 | 参考文献 | 相关文章 | 计量指标

    综合世界植被和中国植被的分类进展,以群落外貌、结构、动态、种类组成、成因和生境相结合为依据,提出一个新改进的中国植被分类系统。该分类系统仍坚持将植被型(Vegetation type)、群系(Alliance)和群丛(Associaton)作为植被分类的基本等级,但群系的英文建议用“Alliance”,而不用“Formation”。植被型以上设置植被纲(Class of vegetation types)、植被亚纲(Subclass of vegetation types)和植被型组(Group of vegetation types)作为辅助分类单位,植被型以下建议不设过多的分类辅助等级。我们将自然植被分类系统的高级分类单位分为3个植被纲,7个植被亚纲,12个植被型组,76个植被型。植被型等级编排了分类代码。新改进的分类系统与中国植被1980分类系统的主要区别是:将冻原、荒漠、沼泽分别作为一种植被类型的生长环境,而非作为一种植被类型来看待,以示与地貌学和自然地理学相关概念区分;新增簇生叶类植被亚纲和相关植被型,将竹类分别归并到森林植被和灌丛植被相关等级;依据草本植物的生态类型、植被成因及其动态,将草本植被分成草原、草甸和草丛3个植被型组。植被命名的方法作为植被分类的重要内容之一,也在文中进行了重点探讨。

    关于雀苣(菊科)在中国的分布问题
    田建斌, 赵利清
    2021, 41(5):  660-661.  doi:10.7525/j.issn.1673-5102.2021.05.002
    摘要 ( 837 )   HTML ( 40)   PDF (2952KB) ( 450 )  
    数据和表 | 参考文献 | 相关文章 | 计量指标

    我们于西藏发现雀苣(菊科)的标本,最终确定目前该种的国内分布地为西藏。

    木兰科南盖木属4新组合
    杨嫱, 余鸿, 唐浩君, 王明远, 陈潜娥, 司马永康
    2021, 41(5):  662-665.  doi:10.7525/j.issn.1673-5102.2021.05.003
    摘要 ( 860 )   HTML ( 29)   PDF (552KB) ( 642 )  
    参考文献 | 相关文章 | 计量指标

    根据2012年发表的司马永康——陆树刚系统报道了木兰科南盖木属(Dugendiodendron Lozano-Contreras)植物新组合4个,即:班氏南盖木(Dugandiodendron bankardiorum(M.O.Dillon & Sánchez-Vega) Sima & Hong Yu)、金毛南盖木(Dugandiodendron coronatum(M. Serna,C. Velásquez & Cogollo) Sima & Hong Yu)、哈恩南盖木(Dugandiodendron jaenense(Marcelo-Pe?a) Sima & Hong Yu)和罗赖马山南盖木(Dugandiodendron roraimae (Steyermark) Sima & Hong Yu)。

    研究报告
    海拔对暗紫贝母物候及形态特征的影响
    徐波, 石福孙, 王丽华, 杨子松
    2021, 41(5):  666-674.  doi:10.7525/j.issn.1673-5102.2021.05.004
    摘要 ( 1230 )   HTML ( 37)   PDF (1134KB) ( 553 )  
    数据和表 | 参考文献 | 相关文章 | 计量指标

    为探究暗紫贝母(Fritillaria unibracteata)在不同海拔的人工种植成效,拓展产业发展空间,减缓产量与市场需求间的矛盾,在5个海拔(1 174、1 784、2 371、3 076和3 413 m)开展了野外盆栽试验。结果表明:经过一个生长季后,“一匹叶”阶段暗紫贝母萌芽期和展叶期随海拔降低显著提前(P<0.05);枯萎期随海拔降低显著提前(P<0.05),但高海拔地区(3 076和3 413 m)枯萎期差异不显著(P>0.05);生长季长度随海拔降低表现出先增加后减少的特征,在3 076 m最长,为(114.83±3.59)天。暗紫贝母株高和单叶面积随海拔降低表现出先增加后减小的特征,均在海拔2 371 m最大,分别为(11.00±0.70) cm和(7.71±0.87) cm2;鳞茎横轴长和纵轴长随海拔降低表现出先增加后减小的特征,均在海拔3076 m最大,分别为(10.63±0.87) mm和(12.11±0.72) mm。本研究表明,从暗紫贝母生长季长度和鳞茎大小的角度考虑,可以选择在2 371~3 076 m的范围开展低海拔人工种植。

    龙胆个体发育早期器官发育形态学研究
    王文颖, 王秋红, 刘鸣远, 孙阎
    2021, 41(5):  675-683.  doi:10.7525/j.issn.1673-5102.2021.05.005
    摘要 ( 1036 )   HTML ( 28)   PDF (7105KB) ( 589 )  
    数据和表 | 参考文献 | 相关文章 | 计量指标

    为进一步了解被子植物个体发育早期形态与结构的多样性,研究了龙胆合子至种苗阶段的发育过程及特征。结果表明:龙胆的胚发育属于茄型,胚乳发育为核型,蒴果开裂时散落出来的种子内的胚分化不完全,大部分处于心形胚或鱼雷胚阶段。种子萌发时胚根依靠下胚轴细胞伸长突破种皮,在下胚轴和胚根交界处形成根环,随后根环上发育出根环毛,毛的生长在早期快于胚根,随着胚根的发育,正常根毛在其先端逐渐出现。子叶状态的种苗至少停滞约10 d才见真叶发育,但在地上停滞发育的同时,地下的胚根却继续生长。这些器官发育顺序上的特点既反映祖先的水生孑遗原始性状,又反映了其对现存偏旱生境的适应性状,是次生陆生的进一步演化。

    橙花破布木染色体制片及核型分析
    陈意兰, 廖海民, 王峥峰, 黄向旭, 刘东明
    2021, 41(5):  684-689.  doi:10.7525/j.issn.1673-5102.2021.05.006
    摘要 ( 923 )   HTML ( 28)   PDF (2320KB) ( 663 )  
    数据和表 | 参考文献 | 相关文章 | 计量指标

    为了解橙花破布木的遗传背景,以其根尖为试验材料,采用体细胞染色体常规制片法着重探索取材和预处理两个实验环节,选取染色体分散较好的细胞进行数目确定及核型分析。结果表明:(1)橙花破布木最佳取材时间为9:30~10:00和14:00~14:30,最佳预处理试剂及时间为饱和对二氯苯预处理2h;(2)橙花破布木染色体数目为32条,共16对染色体,为二倍体植物;核型公式为2n=2X=32=32m,核型属于“1A”型;染色体组绝对长度变化范围为0.38~0.69μm,相对长度(%)变化范围为4.48~8.24,相对长度组成为2n=2L+14M1+14M2+2S;核型不对称系数(As.K%)为58.40%。研究结果为破布木属植物染色体制片技术及核型分析提供参考,也可为橙花破布木基因进行染色体定位等细胞遗传学及表观遗传学研究奠定基础。

    养分供给对黑青杨等杨树生长动态及养分分配的影响
    孙国语, 马晓雨, 易嘉欣, 张芳平, 张春华, 李开隆
    2021, 41(5):  690-699.  doi:10.7525/j.issn.1673-5102.2021.05.007
    摘要 ( 985 )   HTML ( 29)   PDF (1504KB) ( 512 )  
    数据和表 | 参考文献 | 相关文章 | 计量指标

    探究不同养分添加对黑青杨、小黑杨和大青杨幼苗生长和养分分配的影响,旨在揭示3种杨树品种对养分的需求利用规律,为苗圃培育杨树苗木提供参考。以黑青杨、小黑杨和大青杨为材料,采用3因素3水平(N:1.5、3、6 g·株-1;P:0.75、1.5、3 g·株-1;K:0.5、1、2 g·株-1)L9(34)正交试验设计,以不施肥为对照,研究不同养分供给水平对不同杨树生长动态变化及养分分配的影响。结果表明:①不同养分供给对黑青杨、小黑杨和大青杨苗高、地径生长量在7月中旬开始影响差异显著。3个品种苗高、地径生长指数均在氮、磷、钾1水平时最大。黑青杨氮、磷、钾分别选择3、1、2水平时其生物量最大,小黑杨氮、磷、钾分别选择2、1、1水平时其生物量最大,大青杨氮、磷、钾均选择1水平时其生物量最大。氮、磷、钾对黑青杨和小黑杨生长指标影响排序为N大于P和K,而对大青杨生长指标影响排序为K大于N和P。②黑青杨、小黑杨和大青杨在根、茎和叶中氮、磷、钾积累量大小均为N大于P和K,3个品种各器官内氮的积累量都大于磷和钾的积累量。在3个杨树品种中,各器官3种养分积累量显著不同,其中3个品种的氮积累量分配比大小依次为茎、叶、根,黑青杨和小黑杨的磷积累量分配比大小依次为茎、叶、根,大青杨积累量分配比大小依次为根、茎、叶,黑青杨和大青杨钾积累量的分配比大小依次为根、茎、叶,而小黑杨钾积累量的分配比大小依次为根、茎、叶。③经过对各指标综合分析,评价得出氮、磷、钾配比N1P1K1为大青杨、黑青杨、小黑杨最佳施肥方案,即氮肥1.5 g·株-1,磷肥0.75 g·株-1,钾肥0.5 g·株-1

    基于AHP法黑龙江多宝山铜业矿山排土场植物筛选
    唐玉情, 孙飞, 刘海龙, 高赛, 李红娜, 张捷
    2021, 41(5):  700-711.  doi:10.7525/j.issn.1673-5102.2021.05.008
    摘要 ( 874 )   HTML ( 28)   PDF (1167KB) ( 338 )  
    数据和表 | 参考文献 | 相关文章 | 计量指标

    以黑龙江多宝山铜业矿山排土场边坡植被恢复和景观重建的植被筛选为目的,在对矿区本底植物调查、黑龙江省栽培植物调查的基础上,运用层次分析法(analytic hierarchy process,AHP)构建生态适应性、生态防护性、绿化效果、经济性4个方面10个具体指标的筛选评价体系,对74种植物进行权重排序,最终筛选出适用于多宝山铜业矿山排土场植被修复的乔木、灌木、草本共计20种,为矿山排土场生态环境的改善和景观重建提供了植物选择,也为我国寒区其他矿山排土场生态修复植物的选择提供一些实践借鉴。

    绿色环保肥料增效剂聚天冬氨酸对杨树幼苗生长的影响
    曹丹, 王世震, 韩梅
    2021, 41(5):  712-720.  doi:10.7525/j.issn.1673-5102.2021.05.009
    摘要 ( 998 )   HTML ( 26)   PDF (1085KB) ( 578 )  
    数据和表 | 参考文献 | 相关文章 | 计量指标

    聚天冬氨酸(PASP)是一种环境友好型高分子氨基酸聚合物,具有肥料增效剂和缓释剂的作用。本研究通过对水培“南林895杨”幼苗设置不同浓度氮和PASP共12个梯度处理,探讨PASP在木本植物杨树中的增效作用和机制。研究发现,在氮供应不足时,营养液中添加一定的PASP促进了杨树幼苗株高、叶片数、地上部分鲜重和氮的利用效率的增加,降低了杨树幼苗根冠比和硝态氮含量。而在高氮条件下施加PASP效果不显著甚至会加重高氮胁迫,抑制植物生长。这些研究结果表明,PASP可以用作杨树的肥料增效剂,添加适量PASP有望在实际生产中促进低氮条件生长的杨树生物量的增加。

    3种红豆杉茎段腋芽启动组培繁育技术研究
    焦骄, 刘婧, 付玉杰, 王馨, 盖庆岩, 鹿瑶, 徐晓杰, 王紫莹
    2021, 41(5):  721-728.  doi:10.7525/j.issn.1673-5102.2021.05.010
    摘要 ( 1118 )   HTML ( 39)   PDF (3415KB) ( 671 )  
    数据和表 | 参考文献 | 相关文章 | 计量指标

    红豆杉属植物由于天然生长缓慢、繁育能力衰退和种群竞争力弱等客观因素以及人为过度开发利用和生境破坏等主观因素已濒临灭绝,因此对其种质资源的繁育保护已成为当前研究的热点。本研究以我国特有的3种红豆杉(东北红豆杉、南方红豆杉和曼地亚红豆杉)为研究对象,选取带有腋芽的茎段组织为外植体,系统考察了不同植物激素组合对于腋芽的启动、增殖及生根的影响,最终确定了MS+1.0 mg·L-1 6-BA+0.2 mg·L-1 NAA为腋芽启动培养基,MS+0.4 mg·L-1 6-BA+1.0 mg·L-1 NAA为不定芽增殖培养基,发现3种红豆杉在上述培养基中都能够有效启动和增殖;同时,优化确定了WPM+0.8 mg·L-1 NAA+0.2 mg·L-1 IBA培养基可促使东北红豆杉不定芽生根,且不添加任何植物激素的WPM培养基有利于生根苗的后续生长。本研究建立了一种简单有效的红豆杉体外繁育方法,为我国红豆杉资源的保护和可持续利用提供了有力的技术支持。

    梁山慈竹DfMYB3基因克隆及启动子分析
    杜恬恬, 李会萍, 王博雅, 欧倩, 黄艳, 曹颖, 胡尚连
    2021, 41(5):  729-737.  doi:10.7525/j.issn.1673-5102.2021.05.011
    摘要 ( 865 )   HTML ( 39)   PDF (2812KB) ( 549 )  
    数据和表 | 参考文献 | 相关文章 | 计量指标

    基于梁山慈竹转录组数据库,以梁山慈竹叶片为材料,克隆得到一个MYB转录因子,命名为DfMYB3,其开放阅读框长度为1 287 bp,编码428个氨基酸,GenBank注册号为KY963358。保守结构域分析显示,DfMYB3有典型的SANT结构域,具有DNA-Binding结构域。系统进化树分析发现,DfMYB3与甘蔗、拟南芥、毛白杨等物种的R2R3-MYB转录因子聚集在一枝上。亚细胞定位结果显示,DfMYB3蛋白在细胞核以及细胞膜中均有表达,在细胞核上更为显著。通过染色体步移法克隆得到DfMYB3基因5′侧翼2 000 bp左右的序列。PlantCARE在线软件分析表明,该序列具有典型的启动子特征,并含有GA、ABA、MeJA等激素以及干旱等胁迫响应元件。100 μmol·L-1 GA、100 μmol·L-1 ABA处理梁山慈竹后,显著上调了DfMYB3基因的表达,表明DfMYB3基因能对GA及ABA处理产生应答。为探究DfMYB3启动子的功能,构建了DfMYB3启动子融合GUS基因的表达载体,并遗传转化烟草。在转基因烟草叶片及茎杆中都检测到了GUS信号,在叶脉处最为显著。

    湿加松亲本间SNP遗传距离与生长性状杂种优势关系研究
    李义良, 赵奋成, 刘阳, 钟岁英, 林昌明, 谭志强, 李福明, 廖仿炎, 吴惠姗, 郭文冰, 王哲
    2021, 41(5):  738-743.  doi:10.7525/j.issn.1673-5102.2021.05.012
    摘要 ( 775 )   HTML ( 24)   PDF (774KB) ( 416 )  
    数据和表 | 参考文献 | 相关文章 | 计量指标

    通过估算湿加松亲本间SNP位点遗传距离,以有效预测杂交后代的树高、胸径、材积杂种优势,为分子辅助交配设计育种提供参考。利用SLAF-seq技术对131个湿加松亲本种质资源进行测序,获得有效的SNP标记;基于SNP位点信息,利用MEGA5.0软件估算13个湿加松亲本间遗传距离,并进行聚类分析,同时利用SPSS软件分析13个杂交组合生长性状杂种优势与SNP遗传距离的相关性。SLAF-seq共获得53 952个多态性SLAF标签,96 736个有效SNP标记;湿加松亲本间遗传距离介于0.425 1~0.490 6,亲本间SNP遗传距离与树高、胸径、材积生长性状杂种优势相关系数分别为0.680、0.648、0.624,均达到显著正相关水平。SLAF-seq技术可提供海量SNP位点,根据海量SNP位点信息可估算湿加松亲本间遗传距离,以有效预测树高、胸径、材积杂种优势。

    水曲柳BZR1基因克隆及其表达模式分析
    纪欣童, 于磊, 詹亚光
    2021, 41(5):  744-752.  doi:10.7525/j.issn.1673-5102.2021.05.013
    摘要 ( 3729 )   HTML ( 28)   PDF (6034KB) ( 391 )  
    数据和表 | 参考文献 | 相关文章 | 计量指标

    研究水曲柳BZR1基因应答非生物胁迫及激素信号的表达模式,对探究BR在水曲柳生长发育及响应环境胁迫方面的作用有重要意义。本研究以水曲柳为材料,PCR克隆得到目的基因,通过生物信息学软件分析分子结构特征,利用荧光定量PCR探究FmBZR1在低温、盐胁迫及ABA、IAA、GA3诱导下的表达模式。生物信息学分析表明,FmBZR1基因全长984 bp,编码327个氨基酸,FmBZR1蛋白为亲水性蛋白,与樟子松BZR1蛋白的同源性较高。在非生物胁迫与激素诱导下,结果表明,与对照组相比,FmBZR1基因表达量有显著差异。低温处理6 h、盐处理24 h后表达量最高,分别为对照组的1.98、10.13倍。ABA、IAA、GA3处理3 h后基因表达量最低,分别为对照组的0.52、0.41、0.50倍;GA3处理24h后基因表达量最高,为对照组的6.23倍。FmBZR1基因在水曲柳生长发育及各种胁迫应答的过程起到了十分关键的作用。

    红花龙胆组培快繁体系研究
    钟世浚, 张碧东, 赖世婷, 刘华敏
    2021, 41(5):  753-759.  doi:10.7525/j.issn.1673-5102.2021.05.014
    摘要 ( 780 )   HTML ( 40)   PDF (2215KB) ( 449 )  
    数据和表 | 参考文献 | 相关文章 | 计量指标

    为建立红花龙胆组培快繁体系,对红花龙胆合适外植体、消毒方法、最佳增殖培养基、生根培养基及移栽驯化方法进行了研究。结果表明,带节茎段为红花龙胆组织培养的最佳外植体;5%的次氯酸钠消毒10 min,污染率为0,成活率达80%;芽诱导增殖最佳培养基为:MS+0.1 mg·L-1 IBA+2.5 mg·L-1 ZT,增殖系数为8.94;最佳生根培养基为:1/2MS+0.3 mg·L-1 IBA,生根率为100%;1∶1的珍珠岩∶草炭为最佳移栽基质,其移栽成活率达100%。为红花龙胆快速育苗与规模化种植提供技术参考。

    立地和龄组对四川省柏木人工林叶生态化学计量特征的影响
    宋思梦, 周扬, 张健
    2021, 41(5):  760-774.  doi:10.7525/j.issn.1673-5102.2021.05.015
    摘要 ( 675 )   HTML ( 26)   PDF (1582KB) ( 442 )  
    数据和表 | 参考文献 | 相关文章 | 计量指标

    研究四川省柏木人工林叶C、N、P化学计量特征及其对立地变化与龄组的响应,对深入理解各龄组柏木叶在不同立地类型中的养分分配格局有重要意义。为确定立地和龄组对柏木人工林叶化学计量特征的影响,对柏木人工林主要分布区70个标准地进行立地分类,采集幼龄林、中龄林和近熟林柏木叶测定其C、N、P含量。结果显示:①研究区共划分为2个小区、4个组、8个亚组及17个立地类型。②四川省柏木人工林平均叶C、N、P含量分别为(550.55±18.08) g·kg-1,(9.39±0.20) g·kg-1,(0.95±0.12) g·kg-1,C∶N,C∶P,N∶P分别为58.70±3.04,583.68±44.59,9.93±0.37,均受立地与龄组的显著影响(P<0.05)。③同一龄组内,与N、P含量相反,叶C含量、 C∶N、C∶P在山地小区显著高于丘陵小区;各小区内酸性紫色土组显著高于石灰性紫色土组;丘陵小区各组内坡下部亚组显著高于坡中上部和坡顶台地亚组,且厚土层类型显著高于中土层类型;山地小区酸性紫色土组内阳坡亚组显著高于阴坡亚组,且沟槽类型显著高于坡地、脊梁类型。④同一立地内,从幼龄林到近熟林柏木叶C含量、C∶N和C∶P不断上升,N、P含量不断下降,柏木生长可能受N限制且生长前期更明显。综上所述,建议柏木造林选地以山地阳坡沟槽或丘陵坡下部土层较深厚的酸性紫色土为佳,生长前期施N肥以缓解可能受到的营养限制。

    秋海棠(Begonia grandis)的种内表型多样性
    李雁瓷, 付乃峰, 孙加芝, 肖艳, 曹建国, 田代科
    2021, 41(5):  775-788.  doi:10.7525/j.issn.1673-5102.2021.05.016
    摘要 ( 945 )   HTML ( 32)   PDF (4627KB) ( 593 )  
    数据和表 | 参考文献 | 相关文章 | 计量指标

    《中国植物志》和Flora of China关于秋海棠(Begonia grandis)的种内分类存在争议,根据两者的分类依据在实践中无法操作,显然该种的种内单元分类还存在问题。为了全面理解秋海棠的种内多样性,在此基础上对其种内单元进行合理分类,以39个秋海棠居群为研究材料,对33个表型性状进行多样性及数量分类分析。通过数量性状变异分析、质量性状遗传多样性分析、主成分分析和R形聚类分析从33个性状中筛选出主要性状进行Q型聚类分析。结果显示:秋海棠的表型多样性丰富,数量性状变异系数为0.077~0.441,质量性状多样性指数为0.287~1.483。主成分分析结果表明:33个性状可综合为6个主成分,其累计贡献率达72.28%。R型聚类分析结果表明:除叶形和花形大小指标相关外,各性状相对独立。Q型聚类结果显示:39个秋海棠居群按雄花大小、叶片大小、植株大小和叶色分为四组,同Flora of China将该种分成3个亚种处理不一致。因此,对秋海棠的种内单元的划分今后有必要综合分子生物学方面的证据来讨论才更合理。有趣的是发现日本秋海棠的自然化居群的祖先极可能为浙江天目山居群。

    河距对连香树雌雄植株分布、形态和叶片N、P重吸收效率的影响差异
    黄雪梅, 马永红, 董廷发
    2021, 41(5):  789-797.  doi:10.7525/j.issn.1673-5102.2021.05.017
    摘要 ( 720 )   HTML ( 24)   PDF (1097KB) ( 340 )  
    数据和表 | 参考文献 | 相关文章 | 计量指标

    近年来,河岸带植被的分布及其生物多样性的维持机制成为研究热点,然而目前对河岸带雌雄异株濒危植物的生态适应机制的研究较少。以河岸带专性濒危树种连香树(Cercidiphyllum japonicum)为研究对象,比较不同河岸距离下雌雄植株的数量、形态、叶片N、P重吸收效率及土壤水分、全N、全P的差异及相关性。结果表明:河距的增加显著降低了雌株的数量,而对雄株的数量影响不大,进而降低了种群的性比(雌/雄)。离河岸带远的地方,连香树种群性比显著偏雄(雌雄性比为0.289;χ2=4.57,P<0.05),且雄株株高、成熟叶N含量、叶P重吸收效率均显著高于雌株,而在距河岸近的地方以上指标在性别间均无显著差异。雄株叶N重吸收效率、雌株的叶P重吸收效率与其叶片养分、土壤因子相关性较强。且连香树(尤其是雌株)的株高与叶片N、P重吸收效率均呈显著正相关。这些结果表明,连香树对河距的适应性响应具有性别差异,且雌雄植株叶片的N和P重吸收效率对其植物、土壤因子的响应不同。雌株对河岸生境的依赖可能限定了该种群的分布。

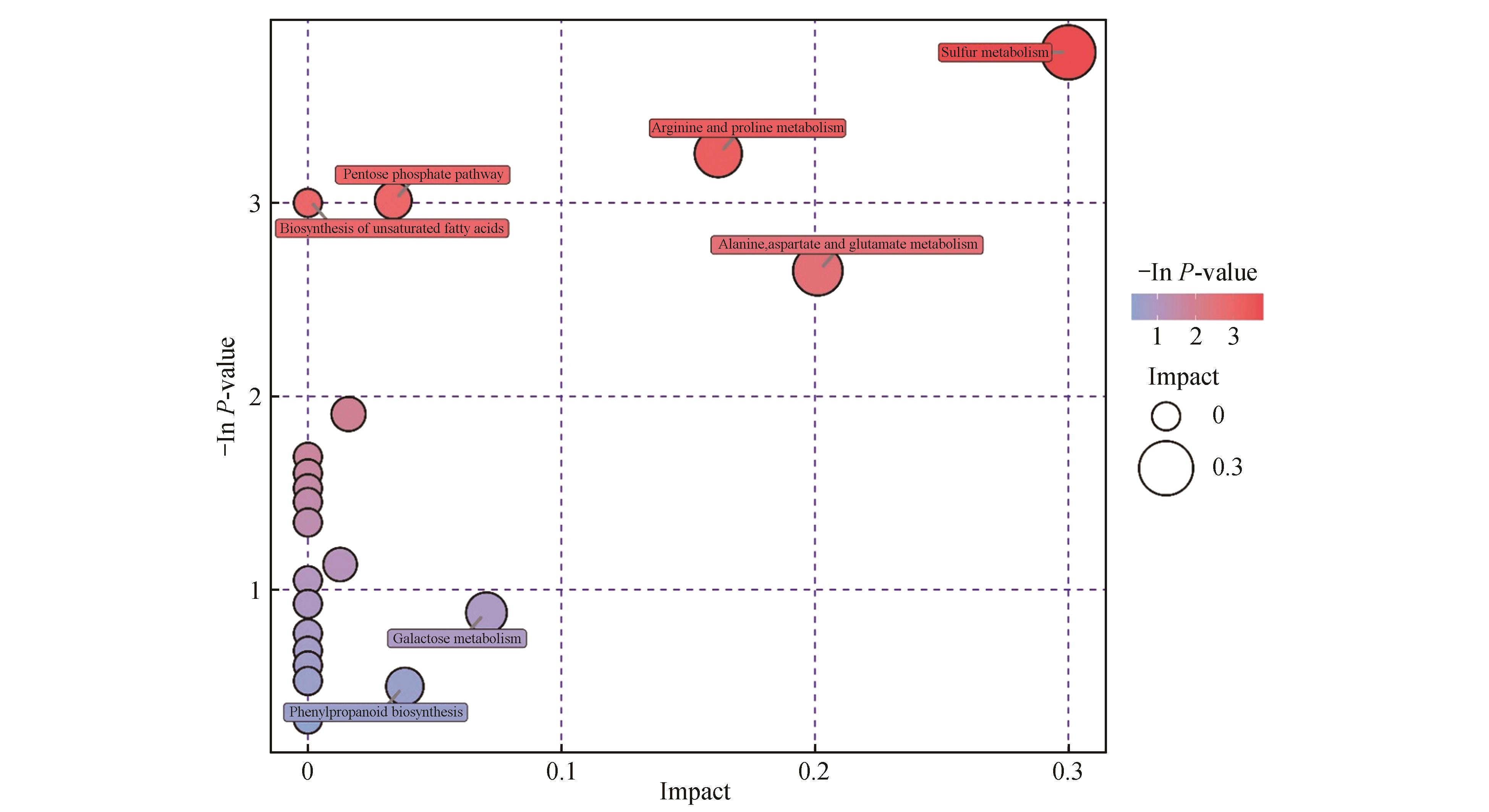
    基于GC-MS分析东北红豆杉野生种与栽培种的代谢差异
    刘龙桀, 吴可心, 刁云飞, 李中跃, 穆立蔷
    2021, 41(5):  798-806.  doi:10.7525/j.issn.1673-5102.2021.05.018
    摘要 ( 835 )   HTML ( 25)   PDF (2073KB) ( 561 )  
    数据和表 | 参考文献 | 相关文章 | 计量指标

    为了探究东北红豆杉野生种和栽培种之间代谢物质的差异,对其进行非靶向代谢组学的分析。利用GC-MS技术以及多元统计分析对野生种和栽培种的树皮进行比较,发现两者代谢物质有差异,总共检测到45种显著差异代谢物,主要包括4种氨基酸、10种有机酸和一些糖醇等。其中有22个代谢物质表达上调,23个表达下调,通过KEGG进行通路分析发现其中有7条通路影响较显著,分别为硫代谢,精氨酸和脯氨酸代谢,磷酸戊糖途径,不饱和脂肪酸的生物合成,半乳糖代谢,丙氨酸、天冬氨酸和谷氨酸代谢,苯丙烷类生物合成。其中检测到的代谢物如氨基酸和有机酸在栽培种中有更高的表达,东北红豆杉野生种在抗逆性能上弱于栽培种。而糖类却在野生种中表达更高,东北红豆杉野生种拥有更好的糖代谢能力,来抵御低温胁迫,本实验为指导东北红豆杉野生种的保护和东北红豆杉的抗逆性机理的研究提供了理论依据。

    小兴安岭天然次生林不同林型下红松种源试验
    魏志刚, 夏德安, 王瑞琪, 张洋, 刘莹莹, 李若林, 杨传平
    2021, 41(5):  807-815.  doi:10.7525/j.issn.1673-5102.2021.05.019
    摘要 ( 760 )   HTML ( 26)   PDF (1002KB) ( 365 )  
    数据和表 | 参考文献 | 相关文章 | 计量指标

    在林下间隙和斑块营造红松是促进天然次生林向阔叶红松林转变的重要经营手段。不同类型的次生林林冠下生长环境各异,对红松幼林生长与适应会产生不同的影响。本研究在小兴安岭丽林实验林场不同林型(杂木林、杨桦林和硬阔林)下开展了红松种源试验研究,结果表明:不同林型对红松源地径、树高、当年高和保存率性状具有显著影响;不同林型下红松造林效果最好为杨桦林,其次为硬阔林,最差是杂木林;铁力种源为杨桦林和杂木林林下造林用的优良种源,汪清种源为硬阔林下优良种源。

    一种带有可视化筛选标记的桉树基因编辑载体构建及验证研究
    王泽琛, 刘亚梅, 欧阳乐军, 李莉梅, 梁楚炎, 潘璟茵
    2021, 41(5):  816-823.  doi:10.7525/j.issn.1673-5102.2021.05.020
    摘要 ( 1095 )   HTML ( 26)   PDF (4469KB) ( 776 )  
    数据和表 | 参考文献 | 相关文章 | 计量指标

    桉树作为世界三大速生树种之一,在经济、生态、药用等方面有着较高的价值。由于桉树遗传杂合性高,许多主要的经济性状由多基因共同调控,常规基因编辑手段无法满足对桉树目标基因编辑与转化后高效筛选的要求。通过mCherry荧光蛋白作为筛选标记可极大地减少转化后的鉴定工作量。本研究以尾巨桉为材料,构建含有35S启动子启动mCherry标记基因的CRISPR/Cas9载体,对桉树基因组进行高效的可视化编辑。利用mCherry荧光蛋白作为筛选标记,筛选阳性转化后代,并提取含荧光标记的不定芽基因组进行PCR鉴定分析。结果表明,成功构建了编辑载体PHEE401-35S-mCherry,转化尾巨桉愈伤后,在580 nm的光源下有明显的红色荧光,且经PCR鉴定可扩增得到与35S-mCherry条带大小一致的目的片段。本研究为开展桉树基因编辑提供了一种可视化筛选技术方法。

    超声辅助提取红花中主要活性成分的工艺优化
    李钰, 杨晓, 叶霄, 邓洁琼, 黄位年, 代沙
    2021, 41(5):  824-835.  doi:10.7525/j.issn.1673-5102.2021.05.021
    摘要 ( 1024 )   HTML ( 33)   PDF (4093KB) ( 602 )  
    数据和表 | 参考文献 | 相关文章 | 计量指标

    采用HPLC-UV测定红花提取物中黄酮类成分含量,确定评价指标,通过单因素试验设计,筛选红花活性成分提取方法;利用Box-Behnken试验设计原理,以花瓣中主要黄酮类成分为响应值,以单因素结果所选因素为自变量,建立响应面分析试验模型,优化提取工艺。红花花瓣中主要黄酮类成分为羟基红花黄色素A和山奈酚-3-O-芸香糖苷,占比85%以上;红花活性成分提取方法应采用超声提取法,响应面优化的最佳提取条件为:料液比0.1∶25 g·mL-1、超声温度70℃、超声时间45 min、溶剂为57%甲醇、超声功率177 W,在该最优条件下红花黄色素A提取率为1.74%,山奈酚-O-β-芸香糖苷提取率为1.53%。该方法羟基红花黄色素A提取率比药典中提取方法显著提高,其余黄酮类成分提取率也呈极显著增加。

    研究方法
    花粉块内花粉粒形态观察的扫描电镜样品制备方法
    陆敏, 李西林, 陆雄
    2021, 41(5):  836-840.  doi:10.7525/j.issn.1673-5102.2021.05.022
    摘要 ( 1698 )   HTML ( 59)   PDF (1354KB) ( 1097 )  
    数据和表 | 参考文献 | 相关文章 | 计量指标

    探讨在扫描电镜下观察花粉块内花粉粒的样品制备方法。以翅萼石斛(Dendrobium cariniferum Rchb. f.)的花粉块为材料,在常规扫描电镜样品制备的基础上,采用导电双面胶带拉断法,暴露出花粉块内部的花粉粒,使用扫描电镜进行观察。在扫描电镜下清晰观察到了花粉块内花粉粒的立体形态、大小和表面纹饰。此法简单易行,操作方便,进一步优化后可作为扫描电镜下观察花粉块内花粉粒形态的通用方法。

Baidu
map