Please wait a minute...
欢迎访问《植物研究》杂志官方网站,今天是 分享到:

当期目录

    2025年 第45卷 第3期    刊出日期:2025-05-20
    上一期   
    前瞻观点
    丛枝菌根生态生理与应用技术研究展望
    陈保冬, 王二涛
    2025, 45(3):  329-332.  doi:10.7525/j.issn.1673-5102.2025.03.001
    摘要 ( 401 )   HTML ( 21)   PDF (337KB) ( 267 )  
    参考文献 | 相关文章 | 计量指标
    Arbuscular Mycorrhizal Hyphosphere and Its Importance in Soil Carbon and Nutrient Cycling
    JANSA Jan, 冯固, 段世龙, 张林
    2025, 45(3):  333-336.  doi:10.7525/j.issn.1673-5102.2025.03.002
    摘要 ( 273 )   HTML ( 12)   PDF (363KB) ( 235 )  
    参考文献 | 相关文章 | 计量指标
    菌根学发展前瞻——菌根研究转向的预测
    张俊伶
    2025, 45(3):  342-344.  doi:10.7525/j.issn.1673-5102.2025.03.004
    摘要 ( 210 )   HTML ( 10)   PDF (292KB) ( 108 )  
    参考文献 | 相关文章 | 计量指标
    综述文章
    AM真菌与菌丝际细菌协同活化土壤有机磷的机制与调控
    严文辉, 段世龙, 张林
    2025, 45(3):  345-351.  doi:10.7525/j.issn.1673-5102.2025.03.005
    摘要 ( 798 )   HTML ( 10)   PDF (2504KB) ( 396 )  
    数据和表 | 参考文献 | 相关文章 | 计量指标

    丛枝菌根(AM)真菌与菌丝际细菌互作在植物从土壤中活化及吸收磷的过程中发挥着关键作用。该文系统阐述了AM真菌-细菌互作对土壤磷循环的影响及其调控机制。AM真菌菌丝分泌物中的糖类、羧酸盐和氨基酸等物质为细菌提供碳源并特异性招募解磷细菌,菌丝还能作为“移动桥梁”促进细菌迁移。在群落水平上,AM真菌能够调控菌丝际细菌的结构和功能,富集含有磷酸酶基因(如phoD)的功能细菌,提高磷酸酶活性,促进有机磷矿化。基于上述机制,通过调控土壤碳磷摩尔比、添加菌丝分泌物成分等策略可以发挥AM真菌-细菌互作的生物学潜力,提高土壤磷利用效率。

    深色有隔内生菌——菌根真菌重要伙伴及基因组适应性特征
    李忠风, 朱志勇, 袁志林
    2025, 45(3):  352-360.  doi:10.7525/j.issn.1673-5102.2025.03.006
    摘要 ( 482 )   HTML ( 4)   PDF (1467KB) ( 1623 )  
    数据和表 | 参考文献 | 相关文章 | 计量指标

    深色有隔内生菌(dark septate endophytes,DSEs)是植物根系真菌组(mycobiome)的重要成员,通常在皮层细胞形成微菌核结构,在促进植物生长、养分吸收及提高胁迫适应性方面发挥着与菌根真菌同等重要的作用,甚至在某些极端环境下其丰度比菌根真菌更高。该文概述了DSEs的物种多样性、基础生物学特性和生理生态功能。在此基础上,重点评述了近年来在共生机理、DSEs基因组结构和种群适应性演化特征等方面的研究进展,旨在为后期深入揭示DSEs新的适应机制、协同植物抗逆机制及开发新型高效DSEs菌剂应用于土壤生态修复和抗逆农林业良种高效培育等提供参考。

    丛枝菌根真菌培养与应用研究进展
    汪伯晏, 陈金, 程齐修, 包月明, 王海宁, 秦锐, 李晓玉
    2025, 45(3):  361-370.  doi:10.7525/j.issn.1673-5102.2025.03.007
    摘要 ( 892 )   HTML ( 27)   PDF (2040KB) ( 1628 )  
    数据和表 | 参考文献 | 相关文章 | 计量指标

    丛枝菌根真菌(AMF)是土壤生态系统中关键的微生物群落之一,研究其繁殖技术及应用对于提升农业生产效率与实现农业可持续性具有深远意义。该文综述了AMF的共生机制及其在扩繁体系和菌剂应用方面的最新研究进展。探讨了AMF与植物根系建立共生关系的分子机制;分析了AMF扩繁体系的优化策略,包括无菌培养技术、基质选择和环境控制等关键因素;讨论了AMF菌剂在实际生产中的应用潜力,包括提高作物产量、增强植物抗逆性和改善土壤结构等,并阐述了当前AMF应用领域存在的实际问题与今后的研究方向。该项研究旨在为进一步理解丛枝菌根真菌的重要性提供参考,并为未来新型微生物菌剂的开发及其在农业生态系统中的应用奠定基础。

    入侵植物与菌根真菌互作及其对土壤氮循环的影响研究进展
    刘熹, 黄弘远, 易盛昌, 余雅迪, 王皓, 倪小康, 胡玉丽, 张令
    2025, 45(3):  371-385.  doi:10.7525/j.issn.1673-5102.2025.03.008
    摘要 ( 507 )   HTML ( 13)   PDF (783KB) ( 337 )  
    数据和表 | 参考文献 | 相关文章 | 计量指标

    在全球气候变化背景下,植物入侵现象日益加剧,入侵植物通过降低本地生物多样性,改变土壤微生物群落结构与组成,影响生态系统结构与功能,显著改变土壤氮循环等生态过程。土壤氮循环是生态系统物质循环的重要环节,影响生态系统中氮供应与分配,而全球气候变化和植物入侵正在改变土壤氮循环的效率和途径。菌根作为真菌和植物根系的重要共生体,在土壤氮循环过程中起着至关重要的作用。目前,对于菌根真菌与入侵植物互作对土壤氮循环的影响,仍缺乏系统研究和深入理解。该文综述了近年来关于入侵植物与菌根真菌互作对土壤氮循环影响的相关研究进展,重点分析了入侵植物与菌根真菌互作通过调控土壤微生物群落,影响土壤硝化、反硝化作用及相关土壤酶活性,改变土壤理化性质等机制影响土壤氮循环,并对未来研究方向提出展望。该研究为理解入侵植物在全球土壤氮循环中的作用提供新的视角,并为入侵植物管理与植物入侵影响下氮循环响应评估提供理论依据。

    核桃丛枝菌根真菌多样性及其作用机制研究进展
    徐永杰, 谭作枰, 吴强盛, 刘小青, 许晓宏
    2025, 45(3):  386-392.  doi:10.7525/j.issn.1673-5102.2025.03.009
    摘要 ( 343 )   HTML ( 2)   PDF (612KB) ( 1282 )  
    参考文献 | 相关文章 | 计量指标

    核桃(Juglans)作为世界重要的经济林木,其生长发育与丛枝菌根真菌(arbuscular mycorrhizal fungi,AMF)之间密切关联。核桃根际AMF资源丰富,涵盖了10个属多个种,其多样性受种植模式(如套种)、土壤养分等影响,但深根性特征使核桃成为周围植被AMF繁殖体的储存库,并通过普通菌根网络实现了养分(如磷和碳)的有效再分配。该研究明确了AMF在促进核桃生长、提高成活率、促进养分(特别是磷)吸收,以及增强抗旱性方面的作用机制,并探究了AMF在提高和转移胡桃醌上的潜力。最后,对核桃菌根研究的未来发展方向进行了展望。

    研究论文
    古朴树实生苗生长和生理对土著丛枝菌根真菌接种的响应
    刘武, 阳雅荧, 龚宁, 邹紫薇, 王艺, 陈保冬, 王琼, 刘玮
    2025, 45(3):  393-405.  doi:10.7525/j.issn.1673-5102.2025.03.010
    摘要 ( 292 )   HTML ( 7)   PDF (3498KB) ( 130 )  
    数据和表 | 参考文献 | 相关文章 | 计量指标

    城市中的古树受自身和环境因素影响,生长受限,接种古树根际土壤中的土著优势丛枝菌根(AM)真菌或可成为一种新的古树复壮方法。以上海市古朴树(Celtis sinensis)根际土筛选、扩繁的2种土著AM真菌菌剂(层状近明球囊霉(Claroideoglomus lamellosum)和摩西斗管囊霉(Funneliformis mosseae))为试验材料,接种至古朴树实生苗盆栽中进行验证。结果表明:接种后实生苗的株高、茎粗和叶面积较对照均显著增加,叶片数量也显著增多;混合接种显著增加了实生苗全株生物量、根尖数量及器官中N、P养分积累量,并能提高实生苗的光合能力,促进叶绿素生成;接种2种菌种均能提升超氧化物歧化酶(SOD)、过氧化物酶(POD)、过氧化氢酶(CAT)活性,增强实生苗抗性。基于隶属模糊函数综合法得出的评价结果可知,朴树实生苗促生效果最好的接种方式为混合接种。该研究结果可为古朴树复壮菌剂的应用提供一定参考。

    玉米GLP家族基因鉴定及其响应丛枝菌根共生表达
    春建惠, 董文龙, 屠元超, 刘芳, 徐云剑
    2025, 45(3):  406-418.  doi:10.7525/j.issn.1673-5102.2025.03.011
    摘要 ( 437 )   HTML ( 3)   PDF (6235KB) ( 475 )  
    数据和表 | 参考文献 | 补充材料 | 相关文章 | 计量指标

    类萌发素蛋白(germin-like proteins,GLPs)是一类高度保守的胁迫响应蛋白,可特异性响应菌根共生。该研究基于玉米(Zea mays)B73全基因组信息,利用生物信息学方法对ZmGLP基因家族成员进行鉴定及特征分析,利用转录组数据分析ZmGLP基因在丛枝菌根真菌(AMF)共生下的表达模式。该研究鉴定了45个ZmGLP基因,它们分布于9条染色体上,存在25个串联复制基因;系统发育树将ZmGLP基因分为5个亚家族;不同ZmGLP基因组织表达模式存在较大差异。启动子顺式作用元件分析显示,ZmGLP基因启动子包含响应光、胁迫和生长发育相关的元件,ZmGLP4-8启动子含有菌根响应元件MYCS,20个ZmGLP基因启动子包含潜在的菌根响应元件GCCGGC;基于接种AMF后不同时间的玉米根部转录组数据,发现12个ZmGLP基因的表达在接种AMF后出现了显著变化;其中ZmGLP3-3ZmGLP4-8ZmGLP4-16ZmGLP4-20ZmGLP5-1ZmGLP6-1在共生后期显著上调表达,且与已报道的共生相关GLP基因在不同的进化分支,暗示这些基因可能参与菌根共生后期相关的功能。ZmGLP3-3功能研究显示,相较于野生型玉米植株,突变体zmglp3-3菌根定殖率显著降低。综上,该研究为共生相关ZmGLP基因挖掘提供了理论基础。

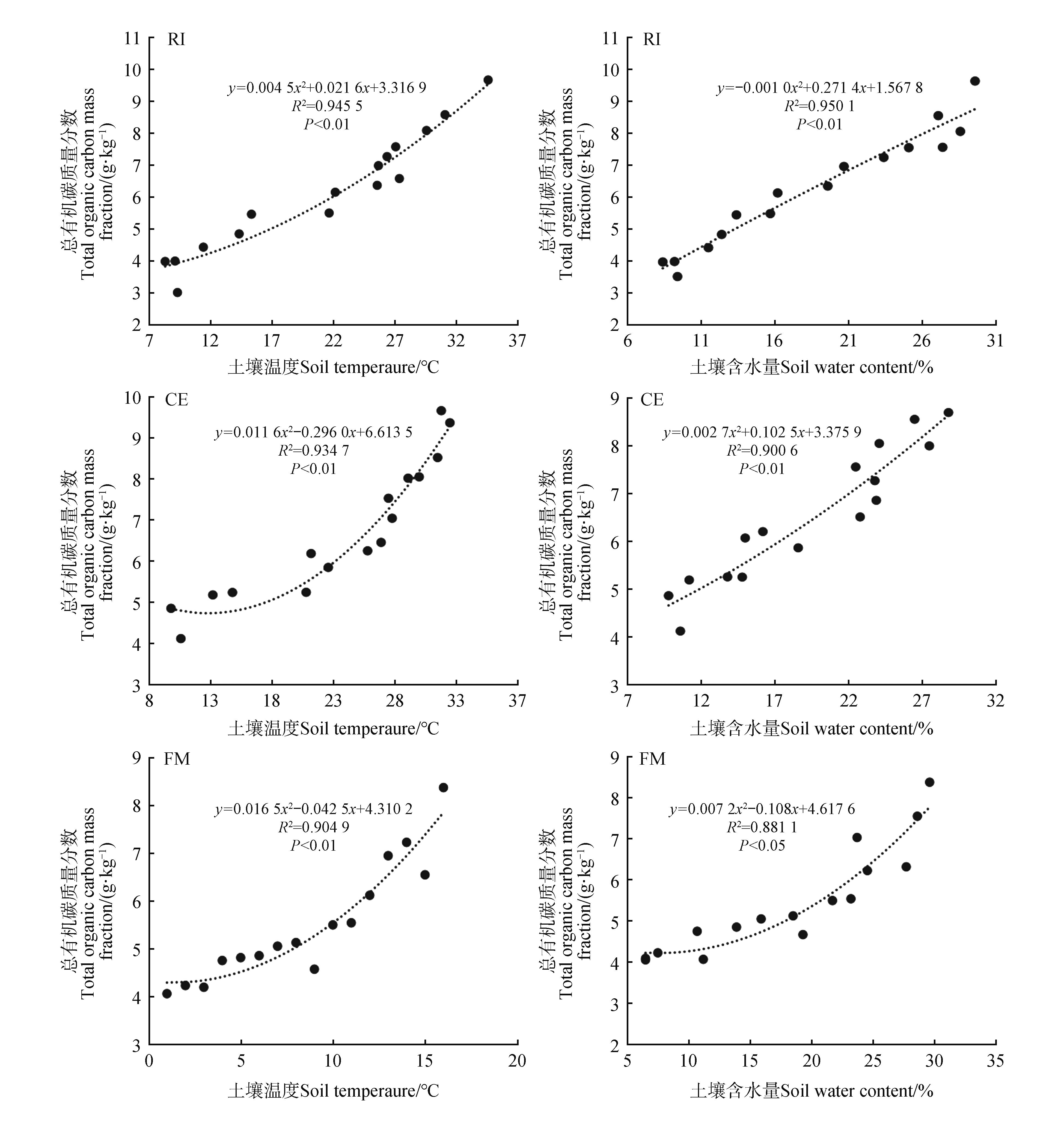
    丛枝菌根真菌与白枪杆共生对喀斯特石漠化土壤碳组分含量时空动态的影响
    罗双, 王邵军, 兰梦杰, 李瑞, 夏佳慧, 杨胜秋, 郭晓飞
    2025, 45(3):  419-432.  doi:10.7525/j.issn.1673-5102.2025.03.012
    摘要 ( 298 )   HTML ( 7)   PDF (2909KB) ( 97 )  
    数据和表 | 参考文献 | 相关文章 | 计量指标

    为探明丛枝菌根(arbuscular mycorrhiza,AM)共生引起的土壤理化性质变化对石漠化土壤碳组分积累的影响,选择乡土树种白枪杆(Fraxinus malacophylla)作为宿主植物,设置接种摩西斗管囊霉(Funneliformis mosseae)+农林生物肥(FM)、幼套近明球囊霉(Claroideoglomus etunicatum)+农林生物肥(CE)、根内根孢囊霉(Rhizophagus intraradices)+农林生物肥(RI)及对照(CK,不接种AM真菌,只施农林生物肥)4种处理,探讨接种不同AM真菌处理下土壤碳组分(总有机碳、微生物生物量碳、易氧化有机碳)含量时空变化与土壤理化性质之间的耦合关系。结果表明:(1)接种AM真菌显著增加土壤碳组分的积累(P<0.05)。相较于对照,不同AM真菌处理下土壤碳组分平均含量增幅由大到小依次为RI(38.05%~139.34%)、CE(19.96%~88.52%)、FM(9.56%~22.95%)。(2)不同AM真菌接种处理下各碳组分含量季节变化均呈“单峰型”变化,最大峰值出现在6月;各碳组分含量沿土层加深递减,CE处理变幅最大(15.70%~67.44%)。(3)AM真菌接种引起土壤温湿度变化显著影响有机碳组分的积累(P<0.05)。相较于对照,不同AM真菌接种处理下土壤温湿度增幅由大到小依次为RI、CE、FM。多项式回归分析表明,土壤总有机碳随土壤温度和土壤含水量的增加而显著增加(P<0.05)。不同AM真菌接种处理下土壤温度和含水量对土壤碳库变化的解释量存在差异,土壤温度的解释量由大到小依次为RI(94.55%)、CE(93.47%)、FM(90.49%);土壤含水量的解释量由大到小依次为RI(95.01%)、CE(90.06%)、FM(88.11%)。(4)AM真菌接种下土壤总有机碳含量与土壤pH、容重呈负相关,与碳组分、土壤温度、土壤含水量、铵态氮含量、硝态氮含量、侵染率、菌丝密度呈显著正相关(P<0.05)。主成分分析结果表明,土壤碳组分、土壤含水量、土壤温度是土壤总有机碳积累的主要影响因子。因此,AM真菌与白枪杆共生主要通过调控土壤碳、氮含量而显著影响石漠化土壤碳库积累的时空格局。

    不同植物来源内生菌提取物抗氧化、抗紫外及抑菌功能评价
    邹坤林, 姜厶源, 魏亚静, 张顺, 李鹏, 尹静
    2025, 45(3):  433-446.  doi:10.7525/j.issn.1673-5102.2025.03.013
    摘要 ( 766 )   HTML ( 12)   PDF (4173KB) ( 98 )  
    数据和表 | 参考文献 | 相关文章 | 计量指标

    该研究以不同植物来源的20株内生真菌为材料,检测不同菌株发酵提取物抗氧化、抑菌、抗紫外线辐射的活性及次生代谢产物含量,以期评价其在日化产品中的应用潜力。利用酶标仪比色法测定不同菌株发酵液和菌丝提取物中ABTS(2,2'-联氮双(3-乙基苯并噻唑啉-6-磺酸)二铵盐)、DPPH(1,1-二苯基-2-三硝基苯肼)自由基清除率;利用FRAP法(铁离子还原/抗氧化能力法)测定其对铁离子的还原能力;利用牛津杯法检测不同菌株的抑菌特性。结果显示:菌株XY1、YZ6、ZJ29、XG4-2和ZBS49的发酵液提取物表现出强抗氧化力,其中,ZJ29发酵液提取物DPPH自由基清除率最高,为93.62%;XY1发酵液提取物ABTS自由基清除率最高,达到90.47%。ZJ29发酵液提取物ABTS自由基清除率高于50%,且FRAP值最高,为2 974.55 μmol?L-1。ZJ29和ZL18-1菌丝提取物酪氨酸酶抑制能力分别为60.62%和98.10%;ZJ29发酵液提取物酪氨酸酶抑制能力最强,为69.78%;ZJ29发酵液提取物对金黄色葡萄球菌(Staphylococcus aureus)的抑制效率最高。YZ6、ZJ29发酵液提取物对UVA及UVB紫外线辐射吸收能力较强,2个菌株对UVB的吸光度均达2.8以上,YZ6、ZJ29发酵液提取物对UVA吸光度分别达到2.0和1.5以上;YZ6菌丝提取物也表现出对UVB、UVA强的抵抗能力,吸光度为1.5~2.5。YH3、XY1菌丝多酚和黄酮含量较高,多酚质量分数分别为18.47、15.36 mg?g-1,黄酮质量分数分别为4.35、7.15 mg?g-1。ZL23、ZJ29三萜含量较高,分别为16.79、11.20 mg?g-1。ZJ29提取物的抑菌、抗紫外线辐射、抗氧化功能均表现良好,综合能力最强,其次为YZ6和XY1。上述功能菌株提取物在日化产品开发中具有重要的应用潜力。

    不同菌根类型树种与桉树混交对土壤微生物群落的影响
    王亚鑫, 朱媛, 孟森, 明安刚, 贾宏炎, 覃方锉, 陆俊锟
    2025, 45(3):  447-459.  doi:10.7525/j.issn.1673-5102.2025.03.014
    摘要 ( 432 )   HTML ( 9)   PDF (4580KB) ( 160 )  
    数据和表 | 参考文献 | 相关文章 | 计量指标

    桉树混交林在促进土壤养分循环、提高生产力和生态系统功能等方面有重要作用。菌根共生是影响混交林种间互作关系的重要因素。然而,不同菌根类型的混交树种对桉树人工林土壤微生物群落结构及功能的影响尚缺乏研究。该研究以桉树纯林及其与降香黄檀(Dalbergia odorifera,固氮-丛枝菌根树种)、火力楠(Michelia macclurei,丛枝菌根树种)、麻栎(Quercus acutissima,外生菌根树种)的混交林为研究对象,利用宏基因组测序技术,探究4种不同林型土壤微生物群落多样性、结构功能、细菌-真菌共现网络模式差异及其与土壤养分的关系。结果表明:混交林显著提高土壤微生物群落物种丰富度,改变微生物功能,增加微生物共现网络复杂性。降香黄檀与桉树混交林土壤微生物丰富度、细菌群落好氧化能异养和发酵功能基因相对丰度、真菌-细菌微生物共现网络模块度均最高;土壤细菌、真菌群落结构与其他3种林型差异显著。火力楠与桉树、麻栎与桉树混交林土壤细菌、真菌的碳氢化合物降解、氮固定、甲烷氧化功能基因相对丰度均高于桉树纯林。外生菌根树种(麻栎)与桉树混交林土壤微生物共现网络边数、平均度及网络稳定性最高,其核心微生物丰度与NO3-水平显著相关。丛枝菌根树种(降香黄檀、火力楠)与桉树混交林土壤核心微生物丰度与NH4+水平显著相关。

    红松生长和根际土壤酶活性对紫丁香蘑菌剂接种的响应
    潘艳艳, 李晓光, 刘立君, 李鸿, 钟鑫, 张义飞
    2025, 45(3):  460-470.  doi:10.7525/j.issn.1673-5102.2025.03.015
    摘要 ( 279 )   HTML ( 5)   PDF (1922KB) ( 958 )  
    数据和表 | 参考文献 | 相关文章 | 计量指标

    通过接种不同剂量的紫丁香蘑(Lepista nuda)菌剂,探讨紫丁香蘑菌剂侵染对红松(Pinus koraiensis)生长及根际土壤酶活性的影响,以期为菌根化红松苗木培育及造林提供技术支撑。以4年生红松幼苗为材料,设置4个菌剂剂量,测定并分析红松幼苗的生长指标、土壤养分含量及根际土壤酶活性,通过相关性分析解析红松生长和根际土壤酶活性对紫丁香蘑菌剂接种的响应特征。结果表明:(1)紫丁香蘑菌剂接种显著促进红松幼苗生长,当菌剂用量为150 g?-1时对红松生长促进效果最好,株高、地径、鲜质量、干质量较对照分别高29.07%、25.69%、38.16%、57.44%,菌根侵染率和根系活力均显著提高。(2)菌剂接种处理下红松根际土壤养分含量均高于对照,施用150 g?-1菌剂时对根际土壤养分提高效果最好,较对照根际土壤的有机质、碱解氮、全氮、全磷和速效磷含量分别高60.67%、31.46%、35.23%、72.22%和35.91%。(3)接种处理提高了红松幼苗根际土壤酶活性,接种菌剂为150 g?-1时,根际土壤酶活性水平最高。(4)相关性分析表明,菌根侵染率与根系活力、干质量、鲜质量、地径、苗高呈显著正相关,与有机质、全磷、全氮、碱解氮含量呈显著正相关,与土壤蔗糖酶、脲酶、酸性磷酸酶活性呈显著正相关。土壤速效磷含量与土壤酸性磷酸酶活性呈显著正相关,土壤碱解氮含量与土壤有机质含量、土壤脲酶活性、土壤酸性磷酸酶活性呈显著正相关。综上,接种紫丁香蘑菌剂对红松幼苗生长具有明显促进作用,不同菌剂接种剂量对红松生长和土壤酶活性的影响存在差异,紫丁香蘑菌剂通过调控土壤酶活性及养分循环,优化红松根际微环境,其中,150 g·株-1为最佳接种剂量,研究结果为菌根化红松苗培育及森林土壤改良提供参考。

Baidu
map