Bulletin of Botanical Research ›› 2025, Vol. 45 ›› Issue (4): 569-579.doi: 10.7525/j.issn.1673-5102.2025.04.009
• Original Paper • Previous Articles Next Articles
Zhe WANG, Mingyue LI, Meiru ZHU, Peng ZHANG(
)
Received:2025-03-02
Online:2025-07-20
Published:2025-07-25
Contact:
Peng ZHANG
E-mail:zhangpeng@nefu.edu.cn
CLC Number:
Zhe WANG, Mingyue LI, Meiru ZHU, Peng ZHANG. Optimal Germination Temperature of Tree Seeds with Different Primary Dormancy Types and Their Responses to Thermal Dormancy Induction[J]. Bulletin of Botanical Research, 2025, 45(4): 569-579.
Add to citation manager EndNote|Ris|BibTeX
URL: https://bbr.nefu.edu.cn/EN/10.7525/j.issn.1673-5102.2025.04.009
Table 1
Basic parameters of tested tree seeds
休眠类型 Dormancy type | 科属 Family and genus | 种名 Species | 种源地 Origin of seeds | 千粒质量 1 000 grains weight/g | 生活力 Viability/% | 含水量 Moisture content/% |
|---|---|---|---|---|---|---|
非休眠 Non-dormancy | 松科云杉属 Pinaceae,Picea | 红皮云杉 Picea koraiensis | 黑龙江 Heilongjiang | 6.0 | 76.7 | 4.7 |
松科落叶松属 Pinaceae,Larix | 华北落叶松 Larix principis-rupprechtii | 河北 Hebei | 4.7 | 78.0 | 5.0 | |
松科松属 Pinaceae,Pinus | 黑松 Pinus thunbergii | 辽宁 Liaoning | 19.6 | 83.3 | 9.5 | |
物理休眠 Physical dormancy | 豆科皂荚属 Fabaceae,Gleditsia | 山皂荚 Gleditsia japonica | 黑龙江 Heilongjiang | 182.0 | 90.0 | 12.2 |
豆科刺槐属 Fabaceae,Robinia | 刺槐 Robinia pseudoacacia | 黑龙江 Heilongjiang | 18.5 | 100.0 | 9.2 | |
豆科紫穗槐属 Fabaceae,Amorpha | 紫穗槐 Amorpha fruticosa | 黑龙江 Heilongjiang | 18.9 | 100.0 | 7.6 | |
生理休眠 Physiological dormancy | 松科松属 Pinaceae,Pinus | 油松 Pinus tabuliformis | 河北 Hebei | 32.6 | 92.0 | 7.6 |
木犀科梣属 Oleaceae,Fraxinus | 花曲柳 Fraxinus rhynchophylla | 辽宁 Liaoning | 32.9 | 85.0 | 11.1 | |
蔷薇科梨属 Rosaceae,Pyrus | 秋子梨 Pyrus ussuriensis | 辽宁 Liaoning | 56.4 | 98.0 | 3.8 |
Table 2
Germination performance of non-dormancy seeds under different temperature conditions
种名 Species | 发芽温度 Germination temperature/℃ | 发芽率 Germination percentage/% | 发芽指数 Germination index |
|---|---|---|---|
红皮云杉 Picea koraiensis | 5 | 0d | 0c |
| 10 | 51.00±4.12b | 0.83±0.09b | |
| 15 | 65.00±1.91a | 1.29±0.05a | |
| 20 | 60.00±3.65a | 1.38±0.12a | |
| 25 | 29.00±5.00c | 0.82±0.17b | |
| 30 | 6.00±2.00d | 0.17±0.06c | |
| 35 | 0d | 0c | |
华北落叶松 Larix principis-rupprechtii | 5 | 0d | 0d |
| 10 | 8.00±1.63d | 0.11±0.03d | |
| 15 | 45.00±4.43b | 0.78±0.12c | |
| 20 | 49.00±4.73b | 1.15±0.16b | |
| 25 | 65.00±1.91a | 1.82±0.13a | |
| 30 | 31.00±3.79c | 0.96±0.15bc | |
| 35 | 0d | 0d | |
黑松 Pinus thunbergii | 5 | 0d | 0e |
| 10 | 0d | 0e | |
| 15 | 47.00±5.26b | 0.69±0.09c | |
| 20 | 72.00±1.63a | 1.34±0.01a | |
| 25 | 44.00±2.83b | 0.99±0.11b | |
| 30 | 13.00±2.52c | 0.31±0.07d | |
| 35 | 1.00±1.00d | 0.03±0.03e |
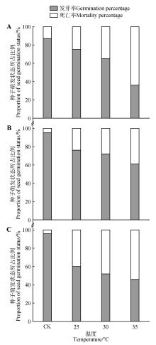
Table 3
Germination performance of physical dormancy seeds under different temperature conditions
种名 Species | 发芽温度 Germination temperature/℃ | 发芽率 Germination percentage/% | 发芽指数 Germination index |
|---|---|---|---|
山皂荚 Gleditsia japonica | 5 | 0d | 0c |
| 10 | 85.00±2.52a | 3.36±0.09a | |
| 15 | 88.00±4.32a | 3.60±0.17a | |
| 20 | 72.00±2.83b | 3.09±0.12a | |
| 25 | 73.00±5.26b | 3.24±0.24a | |
| 30 | 65.00±4.43b | 3.20±0.23a | |
| 35 | 36.00±1.63c | 2.38±0.14b | |
刺槐 Robinia pseudoacacia | 5 | 0d | 0d |
| 10 | 77.00±2.52b | 3.48±0.19c | |
| 15 | 95.00±3.00a | 6.90±0.37a | |
| 20 | 79.00±1.91b | 5.75±0.10ab | |
| 25 | 76.00±6.93b | 6.06±0.50a | |
| 30 | 72.00±7.12bc | 6.43±0.73a | |
| 35 | 61.00±6.61c | 4.51±0.68bc | |
紫穗槐 Amorpha fruticosa | 5 | 0e | 0d |
| 10 | 70.00±5.77bc | 3.13±0.25bc | |
| 15 | 96.00±1.63a | 5.93±0.29a | |
| 20 | 78.00±2.58b | 5.72±0.42a | |
| 25 | 60.00±4.00cd | 3.88±0.26b | |
| 30 | 52.00±7.12d | 3.12±0.45bc | |
| 35 | 46.00±7.02d | 2.75±0.50c |
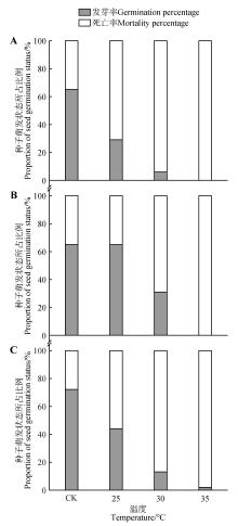
Table 4
Germination performance of physiological dormancy seeds under different temperature conditions
种名 Species | 发芽温度 Germination temperature/℃ | 发芽率 Germination percentage/% | 发芽指数 Germination index |
|---|---|---|---|
油松 Pinus tabuliformis | 5 | 48.00±3.27c | 1.61±0.11b |
| 10 | 46.00±3.46c | 1.53±0.14bc | |
| 15 | 69.00±3.00b | 2.48±0.12a | |
| 20 | 74.00±3.46ab | 2.84±0.21a | |
| 25 | 84.00±5.42a | 2.91±0.23a | |
| 30 | 38.00±4.16cd | 1.32±0.10bc | |
| 35 | 31.00±4.12d | 1.09±0.15c | |
花曲柳 Fraxinus rhynchophylla | 5 | 12.00±3.65d | 0.14±0.05e |
| 10 | 24.00±6.53cd | 0.67±0.29de | |
| 15 | 37.00±2.52c | 1.25±0.27cd | |
| 20 | 64.00±6.73b | 2.28±0.37ab | |
| 25 | 88.00±3.27a | 2.79±0.20a | |
| 30 | 54.00±3.83b | 2.10±0.26ab | |
| 35 | 34.00±2.58c | 1.56±0.09bc | |
秋子梨 Pyrus ussuriensis | 5 | 93.00±3.42a | 1.60±0.04a |
| 10 | 62.00±3.46b | 1.03±0.11b | |
| 15 | 34.00±3.46c | 0.61±0.07c | |
| 20 | 12.00±2.83d | 0.23±0.06d | |
| 25 | 10.00±1.15de | 0.20±0.03d | |
| 30 | 6.00±2.00de | 0.18±0.05d | |
| 35 | 2.00±1.15e | 0.06±0.03d |
| [1] | GUBLER F, MILLAR A A, JACOBSEN J V.Dormancy release,ABA and pre-harvest sprouting[J].Current Opinion in Plant Biology,2005,8(2):183-187. |
| [2] | BASKIN J M, BASKIN C C.A classification system for seed dormancy[J].Seed Science Research,2004,14(1):1-16. |
| [3] | WILLIS C G, BASKIN C C, BASKIN J M,et al.The evolution of seed dormancy:environmental cues,evolutionary hubs,and diversification of the seed plants[J].New Phytologist,2014,203(1):300-309. |
| [4] | SOLTANI E, GRUBER S, OVEISI M,et al.Water stress,temperature regimes and light control induction,and loss of secondary dormancy in Brassica napus L. seeds[J].Seed Science Research,2017,27(3):217-230. |
| [5] | BATLLA D, BENECH-ARNOLD R L.Predicting changes in dormancy level in weed seed soil banks:implications for weed management[J].Crop Protection,2007,26(3):189-197. |
| [6] | FINCH-SAVAGE W E, LEUBNER-METZGER G.Seed dormancy and the control of germination[J].New Phytologist,2006,171(3):501-523. |
| [7] | BATLLA D, BENECH-ARNOLD R L.A framework for the interpretation of temperature effects on dormancy and germination in seed populations showing dormancy[J].Seed Science Research,2015,25(2):147-158. |
| [8] | KHAN A A.Induction of dormancy in nondormant seeds[J].Journal of the American Society for Horticultural Science,1994,119(3):408-413. |
| [9] | 刘彦文,李明,姚东伟.引发对莴苣种子萌发及减轻其高温休眠的影响[J].种子,2010,29(10):54-56. |
| LIU Y W, LI M, YAO D W.Effects of priming treatment on germination and decreasing dormancy at high temperature of lettuce seed[J].Seed,2010,29(10):54-56. | |
| [10] | SILVA T A DA, BALDINI L F G, FERREIRA G,et al.Thermoinhibition in parsley seeds[J].Bioscience Journal,2017,33(6):1412-1418. |
| [11] | SOLTANI E, BASKIN J M, BASKIN C C.A review of the relationship between primary and secondary dormancy,with reference to the volunteer crop weed oilseed rape (Brassica napus)[J].Weed Research,2019,59(1):5-14. |
| [12] | CHAHTANE H, KIM W, LOPEZ-MOLINA L.Primary seed dormancy:a temporally multilayered riddle waiting to be unlocked[J].Journal of Experimental Botany,2017,68(4):857-869. |
| [13] | EDWARDS B, BURGHARDT L T, KOVACH K E,et al.Canalization of seasonal phenology in the presence of developmental variation:seed dormancy cycling in an annual weed[J].Integrative and Comparative Biology,2017,57(5):1021-1039. |
| [14] | JAGANATHAN G K, BIDDICK M.Critical role of air and soil temperature in the development of primary and secondary physical dormancy in Albizia julibrissin (Fabaceae)[J].Journal of Tropical Ecology,2020,36(6):251-257. |
| [15] | LIU L, FAN W Q, LIU F X,et al.Increased BnaMFT-transcript level is associated with secondary dormancy in oilseed rape (Brassica napus L.)[J].Journal of Integrative Agriculture,2020,19(6):1565-1576. |
| [16] | NÉE G, OBENG-HINNEH E, SARVARI P,et al.Secondary dormancy in Brassica napus is correlated with enhanced BnaDOG1 transcript levels[J].Seed Science Research,2015,25(2):221-229. |
| [17] | BUIJS G.A perspective on secondary seed dormancy in Arabidopsis thaliana [J].Plants,2020,9(6):749. |
| [18] | COUGHLAN J M, SAHA A, DONOHUE K.Effects of pre- and post-dispersal temperature on primary and secondary dormancy dynamics in contrasting genotypes of Arabidopsis thaliana (Brassicaceae)[J].Plant Species Biology,2017,32(3):210-222. |
| [19] | AUGE G A, BLAIR L K, BURGHARDT L T,et al.Secondary dormancy dynamics depends on primary dormancy status in Arabidopsis thaliana [J].Seed Science Research,2015,25(2):230-246. |
| [20] | JAGANATHAN G K.Unravelling the paradox in physically dormant species:elucidating the onset of dormancy after dispersal and dormancy-cycling[J].Annals of Botany,2022,130(2):121-129. |
| [21] | 全国林草种子标准化技术委员会. 林木种子检验规程: [S].北京:中国标准出版社,1999. |
| National Technical Committee for Standardization of Forest and Grass Seeds. Rules for forest tree seed testing: [S].Beijing:China Standards Press,1999. | |
| [22] | CAO D C, BASKIN C C, BASKIN J M,et al.Dormancy cycling and persistence of seeds in soil of a cold desert halophyte shrub[J].Annals of Botany,2014,113(1):171-179. |
| [23] | 刘长乐.热水处理对山皂荚种子萌发的影响[J].林业科技,2012,37(1):35-37. |
| LIU C L.Effects of hot water treatment on germination and seedling growth of Gleditsia japonica [J].Forestry Science & Technology,2012,37(1):35-37. | |
| [24] | 曹帮华,耿蕴书,牟洪香.刺槐种子硬实破除方法探讨[J].种子,2002(4):22-24. |
| CAO B H, GENG Y S, MOU H X.Studies on methods of breaking hard seed of black locust[J].Seed,2002(4):22-24. | |
| [25] | 徐同冰.紫穗槐种子萌发特性研究[J].现代农业科技,2011(7):202-204. |
| XU T B.Study on the characteristics of seed germination of Amorpha fruticosa L.[J].Modern Agricultural Science and Technology,2011(7):202-204. | |
| [26] | PRITCHARD H W, DAWS M I, FLETCHER B J,et al.Ecological correlates of seed desiccation tolerance in tropical African dryland trees[J].American Journal of Botany,2004,91(6):863-870. |
| [27] | KILDISHEVA O A, DIXON K W, SILVEIRA F A O,et al.Dormancy and germination:making every seed count in restoration[J].Restoration Ecology,2020,28(S3):S256-S265. |
| [28] | 袁荣珍,王国宏,唐志尧,等.红皮云杉林的植被分类及其环境解释[J].植物学报,2022,57(4):468-478. |
| YUAN R Z, WANG G H, TANG Z Y,et al.The vegetation classification on Picea koraiensis forest alliance and its environmental interpretation[J].Chinese Bulletin of Botany,2022,57(4):468-478. | |
| [29] | 石娇星,许洺山,方晓晨,等.中国东部海岛黑松群落功能多样性的纬度变异及其影响因素[J].植物生态学报,2021,45(2):163-173. |
| SHI J X, XU M S, FANG X C,et al.Latitudinal variability and driving factors of functional diversity in Pinus thunbergii communities across sea-islands in Eastern China[J].Chinese Journal of Plant Ecology,2021,45(2):163-173. | |
| [30] | 刘阳,苗晨,王鹤松.气候变化对落叶松人工林在中国适生区分布的影响[J].生态学报,2023,43(23):9686-9698. |
| LIU Y, MIAO C, WANG H S.Influence of climate change on distribution of suitable areas of Larix plantation in China[J].Acta Ecologica Sinica,2023,43(23):9686-9698. | |
| [31] | LUNA B, PIÑAS-BONILLA P, ZAVALA G,et al.Timing of fire during summer determines seed germination in Mediterranean Cistaceae[J].Fire Ecology,2023,19(1):52. |
| [32] | WEN Z Z, LU X R, WEN J Q,et al.Physical seed dormancy in legumes:molecular advances and perspectives[J].Plants,2024,13(11):1473. |
| [33] | 唐兴港,袁颖丹,张金池.气候变化对油松潜在地理分布时空格局的影响[J].星空游戏免费版下载学报,2021,49(9):1-7. |
| TANG X G, YUAN Y D, ZHANG J C.Simulation of potential spatial-temporal population dynamics of Pinus tabuliformis under climate change[J].Journal of Northeast Forestry University,2021,49(9):1-7. | |
| [34] | 项凤武,姚丛军,刘艳华.花曲柳的分布、生长及天然更新的研究[J].吉林林学院学报,1997,13(4):212-215. |
| XIANG F W, YAO C J, LIU Y H.On the distribution growth and natural regeneration of Fraxinus chinensis [J].Journal of Jilin Forestry University,1997,13(4):212-215. | |
| [35] | 滕元文.梨属植物系统发育及东方梨品种起源研究进展[J].果树学报,2017,34(3):370-378. |
| TENG Y W.Advances in the research on phylogeny of the genus Pyrus and the origin of pear cultivars native to East Asia[J].Journal of Fruit Science,2017,34(3):370-378. | |
| [36] | GENEVE R L, BASKIN C C, BASKIN J M,et al.Functional morpho-anatomy of water-gap complexes in physically dormant seed[J].Seed Science Research,2018,28(3):186-191. |
| [37] | GEHAN JAYASURIYA K M G, BASKIN J M, BASKIN C C.Sensitivity cycling and its ecological role in seeds with physical dormancy[J].Seed Science Research,2009,19(1):3-13. |
| [38] | ZHENG L P, OTANI M, KAWAKAMI N.Assessment of dormancy level and germination ability of seeds with physiological dormancy[J].Methods in Molecular Biology,2024,2830:27-34. |
| [39] | LASPINA N V, BATLLA D, BENECH-ARNOLD R L.Dormancy cycling is accompanied by changes in ABA sensitivity in Polygonum aviculare seeds[J].Journal of Experimental Botany,2020,71(19):5924-5934. |
| [40] | TOH S, IMAMURA A, WATANABE A,et al.High temperature-induced abscisic acid biosynthesis and its role in the inhibition of gibberellin action in Arabidopsis seeds[J].Plant Physiology,2008,146(3):1368-1385. |
| [41] | 刘卓琳.山梨种子的适宜萌发温度及其种子热休眠机理研究[D].哈尔滨:星空游戏免费版下载,2024. |
| LIU Z L.Optimum germination temperature and thermodormancy mechanism of Pyrus ussuriensis seeds[D].Harbin:Northeast Forestry University,2024. |
| [1] | Xinyu CHENG, Mengqiao GUO, Haiyun GUAN, Jian RU, Yan BAI, Lianjin GUO. Light Requirements for Germination of Emmenopterys henryi Oliv. Seeds and Transcriptome Response Analysis [J]. Bulletin of Botanical Research, 2025, 45(4): 546-557. |
| [2] | Hui FAN, Suhang GUO, Jinxiu WANG, Yanhong ZHANG, Chunyu HE, Qingyi GUO. Effect of Fe Element on Bulbil Formation and Tube Seedling Growth of Pinellia ternata [J]. Bulletin of Botanical Research, 2024, 44(6): 945-953. |
| [3] | Ting LIU, Mingyue LI, Meiru ZHU, Hao XIN, Bowen DONG, Peng ZHANG. Differences in Seed Dormancy Among Different Clones of Fraxinus mandshurica [J]. Bulletin of Botanical Research, 2024, 44(5): 711-720. |
| [4] | Xuhong JIN, Cong YU, Tingyao ZHANG, Songtong LÜ, Yang LIU, Le CHEN, Sheng LONG, Huaizhi MU. Preliminary Selection of Half-sib Family in Betula costata Based on Seed Vigor and Sapling Growth [J]. Bulletin of Botanical Research, 2024, 44(5): 763-773. |
| [5] | Shuanglong TANG, Shixin CHEN, Yu WANG, Danwei MA, Shihui YANG, Shenming NIE, Zhaxizeli, Zhengyou TIAN. Morphological Adaptation to Alpine Environment of a Chinese Endemic Species, Cynanchum forrestii [J]. Bulletin of Botanical Research, 2024, 44(3): 389-399. |
| [6] | Yue GUAN, Wenjing SHEN, Xiaomeng SONG, Yanxin WANG, Nurgailide AKEJULIDEZI, Pengfei CHEN, Long ZHOU. Seed Germination Characteristics of Amygdalus ledebouriana in Barluk Mountain [J]. Bulletin of Botanical Research, 2024, 44(3): 400-409. |
| [7] | Lixue YANG, Shilin LIU, Hanxuan FU, Siyu ZHOU, Huifeng LIU, Fangyuan SHEN. Effects of Vegetation Control on Root Traits of Artificial Regeneration of Tilia amurensis Saplings [J]. Bulletin of Botanical Research, 2024, 44(2): 267-278. |
| [8] | Jiongkun HE, Zhenwei XU, Rukang SHI, Dayong HAN. Quantitative Characteristics and Influencing Factors of Regeneration Seedlings of Different Decay Grades of Pinus schrenkiana, Western Tianshan Mountains [J]. Bulletin of Botanical Research, 2024, 44(2): 279-288. |
| [9] | Fazhi FANG, Huiying GUI, Zhaojia LI, Xiaofeng ZHANG. Physiological Adaptation of Six Mangrove Seedlings to Different Salinity [J]. Bulletin of Botanical Research, 2023, 43(6): 881-889. |
| [10] | Chaoyang MA, Tianfeng LIU, Xiaoxue LI, Cancan HUO, Lingling FU, Zailiu LI. Interannual Changes in the Effects of Soil Gravel Content on the Growth and Physiology of Handeliodendron bodinieri Seedlings [J]. Bulletin of Botanical Research, 2023, 43(6): 890-899. |
| [11] | Renrui WANG, Xin LIU, Jie LI. Embryo Development and Features of Seed and Fruit of Endangered Plant Cymbidium goeringii var. longibracteatum [J]. Bulletin of Botanical Research, 2023, 43(6): 953-960. |
| [12] | Dan WANG, Zhongshuai ZHANG, Qingyin ZENG, Xuemin HAN. Fruiting and Seed Characteristics of Abies in Northwest Yunnan [J]. Bulletin of Botanical Research, 2023, 43(5): 647-656. |
| [13] | Yougui WU, Zhicheng ZHU, Qianqian WU, Huanman CAI, Dingyun CHEN. The Seed Rain of Critically Endangered Plant Abies beshanzuensis [J]. Bulletin of Botanical Research, 2023, 43(5): 711-719. |
| [14] | Chunjing JIAO, Mingyue LI, Peng ZHANG. Effects of Exogenous Hormones Soaking and Osmotic Treatment on Thermal Dormancy of Seeds of Fraxinus mandshurica [J]. Bulletin of Botanical Research, 2023, 43(3): 370-378. |
| [15] | Xijia JIU, Yuhui WANG, Honggang CHEN, Huizhen WANG, Cuiyun ZENG, Tao DU. Selection of Cryopreservation Conditions of Sinopodophyllum hexandrum Seeds Based on Entropy Weight TOPSIS Model [J]. Bulletin of Botanical Research, 2023, 43(3): 404-411. |
| Viewed | ||||||
|
Full text |
|
|||||
|
Abstract |
|
|||||