欢迎访问《植物研究》杂志官方网站,今天是 分享到:

植物研究 ›› 2022, Vol. 42 ›› Issue (6): 1079-1087.doi: 10.7525/j.issn.1673-5102.2022.06.018

• 生理与生态 • 上一篇    下一篇

增补UV-B辐射对菥蓂生理特性及次生代谢产物的影响

黄志慧1,2, 张一宁1,2, 李娜娜1,2, 郑宝江1,3, 张玉红1,2()   

  1. 1.星空游戏免费版下载森林植物生态学教育部重点实验室,哈尔滨 150040
    2.黑龙江省林源活性物质生态利用重点实验室,哈尔滨 150040
    3.星空游戏免费版下载生命科学学院,哈尔滨 150040
  • 收稿日期:2021-11-24 出版日期:2022-11-20 发布日期:2022-11-22
  • 通讯作者: 张玉红 E-mail:pzhangyh@126.com
  • 作者简介:黄志慧(1993—),女,硕士研究生,主要从事药用植物生理生态学研究。
  • 基金资助:
    科技基础资源调查专项课题(2019FY100502-3)

Responses of Supplemental UV-B Radiation to Physiological Properties and Secondary Metabolites of Thlaspi arvense

Zhihui HUANG1,2, Yining ZHANG1,2, Nana LI1,2, Baojiang ZHENG1,3, Yuhong ZHANG1,2()   

  1. 1.Key Laboratory of Forestry Plant Ecology of Ministry of Education,Northeast Forestry University,Harbin 150040
    2.Heilongjiang Provincial Key Laboratory of ecological utilization of Forestry-based active substances,Harbin 150040
    3.College of Life Science,Northeast Forestry University,Harbin 150040
  • Received:2021-11-24 Online:2022-11-20 Published:2022-11-22
  • Contact: Yuhong ZHANG E-mail:pzhangyh@126.com
  • About author:HUANG Zhihui(1993—),female,master student,mainly engaged in physiological ecology of medicinal plant.
  • Supported by:
    Special project of scientific and technological basic resource survey(2019FY100502-3)

摘要:

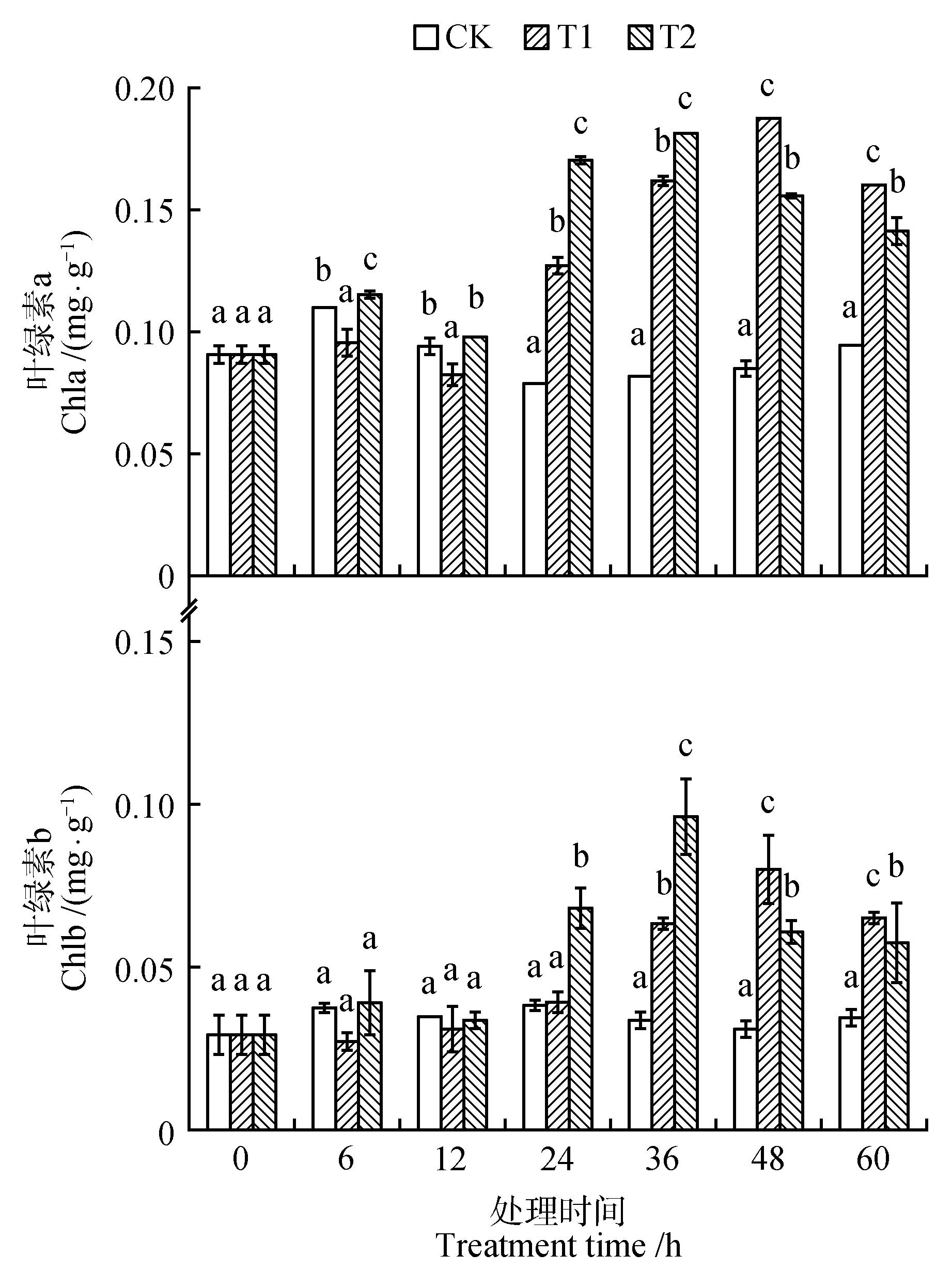
为了解药用植物菥蓂(Thlaspi arvense)在紫外线(UV-B)辐射增强下生长及响应规律,以2月龄菥蓂幼苗为研究对象,在自然光照基础上人工增补3.26 μW·cm-2(T1)和9.78 μW·cm-2(T2)2种不同辐射强度处理,以自然光照下生长的菥蓂幼苗为对照,研究菥蓂幼苗中光合指标和叶绿素荧光参数、光合色素(叶绿素a和b)含量、渗透调节物质(丙二醛、可溶性蛋白、可溶性糖和脯氨酸)含量、抗氧化酶(超氧化物歧化酶、过氧化物酶、过氧化氢酶和抗坏血酸过氧化氢酶)活性和总黄酮、总酚和黑芥子苷等次生代谢产物含量对不同UV-B辐射强度的响应。结果表明:2种辐射强度下净光合速率、气孔导度、蒸腾速率、胞间二氧化碳摩尔分数、最大荧光(Fm)、PSⅡ最大光化学效率(Fv /Fm)和PSⅡ潜在光化学效率(Fv /Fo)均随辐射强度增大而降低;叶绿素a和叶绿素b、可溶性蛋白、可溶性糖和脯氨酸等渗透调节物质、超氧化物歧化酶、过氧化物酶、过氧化氢酶和抗坏血酸过氧化氢酶活性、总酚和黑芥子苷等次生代谢产物含量均随辐射时间增加呈现先增加后降低的趋势,而总黄酮含量则呈逐渐增加的趋势,在辐射未期与对照差异显著(P<0.05)。根据研究结果综合分析,在不同辐射强度下,菥蓂通过提高总黄酮和总酚含量的合成、可溶性蛋白和可溶性糖的积累,以及叶绿素含量、超氧化物岐化酶、过氧化物酶和抗坏血酸过氧化氢酶活性的增加,抵抗紫外胁迫对其造成的影响,进而菥蓂表现一定的抗性和对逆境环境的适应性,这为菥蓂抗逆性培育和进一步利用提供理论基础。

关键词: 菥蓂, UV-B辐射, 生理特性, 次生代谢产物

Abstract:

In order to understand the growth rule of the medicinal plant Thlaspi arvense under the enhanced ultraviolet(UV-B) radiation, the 2-months-old seedlings of T. arvense were taken as materials, two different radiation intensities were supplemented artificially with 3.26 μW·cm-2(T1) and 9.78 μW·cm-2(T2) on the basis of natural light, and the T. arvense grown under natural light as the control, to investigate the response of various physiological indicators and secondary metabolites to different UV-B radiation intensities, such as photosynthetic indicators and chlorophyll fluorescence parameters, photosynthetic pigments(chlorophyll a and b) content, osmotic adjustment substances(malondialdehyde, soluble protein, soluble sugar and proline) content, activity of antioxidant enzymes(SOD, POD, CAT and APX), and the content of total flavonoids, total phenols and sinigrin. The results showed: net photosynthetic rate, stomatal conductance, transpiration rate, intercellular CO2 concentration, maximum fluorescence(Fm), PSⅡ maximum photochemical efficiency(Fv /Fm) and Potential Photochemical Efficiency of PSⅡ at Two Radiation Intensities(Fv /F0) and other chlorophyll fluorescence parameters decreased with the increasing of radiation intensity respectively. However, the chlorophyll a and chlorophyll b, osmotic adjustment substances, such as soluble protein, soluble sugar and proline, superoxide dismutase(SOD), peroxidase(POD), catalase(CAT) and ascorbate catalase(APX), total phenols and sinigrin firstly increased and then decreased with the increase of radiation time, while the total flavonoids content gradually increased, which was significantly different(P<0.05) from the control in the late radiation period. According to the comprehensive analysis of the research results, under different radiation intensities, T. arvense might improve the synthesis of total flavonoids and total phenols, the accumulation of soluble protein and soluble sugar, and the content of chlorophyll, and the activity of superoxide dismutase and peroxidase and catalase increased, to resist the influence of ultraviolet stress, and then showed the resistance and the adaptability to the stress environment of adversity. The results provided a theoretical basis for breeding and further utilization of T. arvense.

Key words: Thlaspi arvense, UV-B radiation, physiological characteristics, secondary metabolites

中图分类号: 

Baidu
map