植物研究 ›› 2023, Vol. 43 ›› Issue (2): 231-241.doi: 10.7525/j.issn.1673-5102.2023.02.008
收稿日期:2022-08-17
出版日期:2023-03-20
发布日期:2023-03-07
通讯作者:
张孟文
E-mail:601565959@qq.com
作者简介:张孟文(1986—),男,博士研究生,主要从事森林生态学、红树林保护与恢复研究。
基金资助:
Mengwen ZHANG(
), Cairong ZHONG, Xiaobo LÜ, Zanshan FANG, Cheng CHENG
Received:2022-08-17
Online:2023-03-20
Published:2023-03-07
Contact:
Mengwen ZHANG
E-mail:601565959@qq.com
About author:ZHANG Mengwen(1986—),male,Ph.D,research interests include forest ecology,mangrove conservation and restoration.
Supported by:摘要:
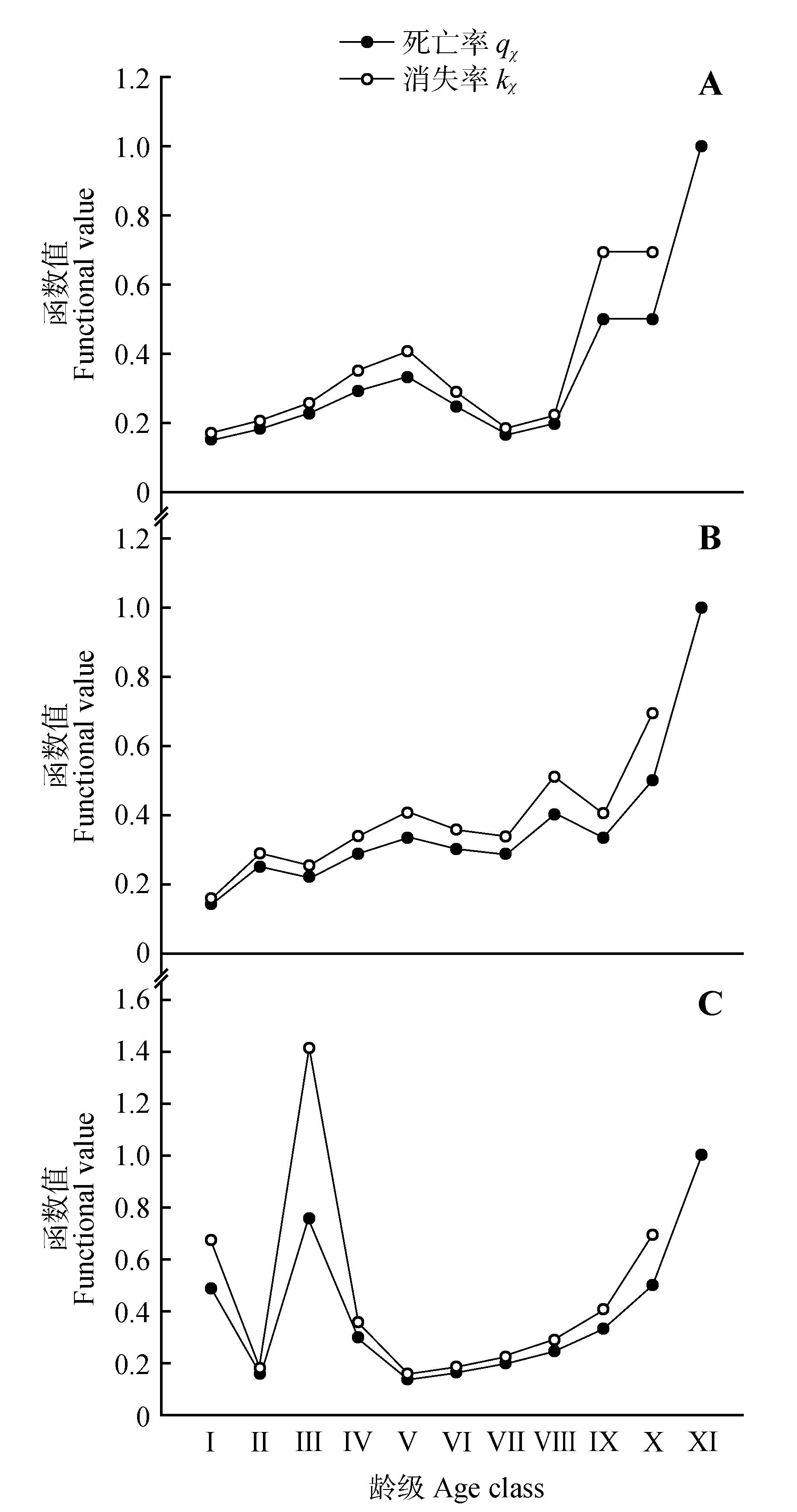
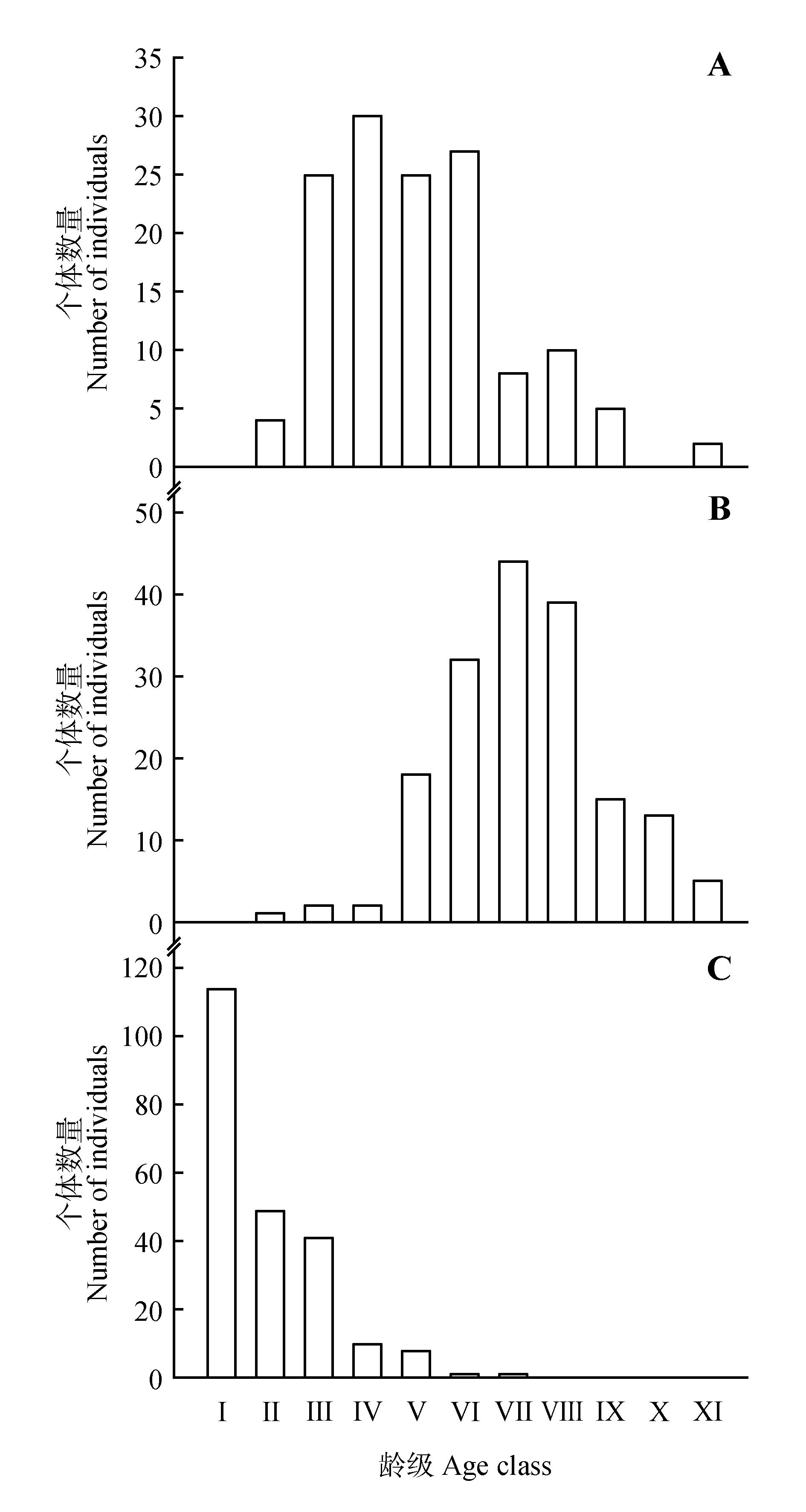
以3种海桑属(Sonneratia)濒危红树植物——海南海桑(Sonneratia × hainanensis)、拟海桑(S. × gulngai)、卵叶海桑(S. ovata)为研究对象,通过编制静态生命表,绘制存活曲线、死亡率和消亡率等曲线分析其种群结构,并用生存分析与时间序列对其未来的数量动态进行预测,以阐述其种群结构特征和动态变化规律,为海桑属濒危植物种群的保护和恢复提供基础资料和科学依据。结果显示:(1)卵叶海桑种群结构为增长型;而由于缺乏幼龄个体,海南海桑和拟海桑均为衰退型。(2)三者的种群存活曲线都表现为Deevey-Ⅱ型,各种群的死亡率和消失率曲线的变化趋势一致,并随着龄级的增加呈波状上升趋势,其中海南海桑和拟海桑均在老龄阶段遇到了障碍,而卵叶海桑幼龄个体的发展遇到了瓶颈。(3)海南海桑和拟海桑种群自我更新能力较差,未来种群数量将逐渐衰退。卵叶海桑种群具有良好的恢复潜力,未来种群数量将逐步增加,但由于其种群个体数随龄级增加呈衰减趋势,若继续保持这种态势,将有可能导致龄级断层现象。(4)人类的养殖活动导致原有生境破碎化,产生了一系列不适宜种子萌发与幼苗生长的环境因子(光照、盐度、潮汐等),这在很大程度上抑制了海桑属濒危植物种群的自然更新。建议在加大天然种群就地保护力度的基础上,优化迁地保护策略和科学实施野外回归,并积极开展人工辅助育种工作,突破育种难题,以保证其种群的正常更新。
中图分类号:
张孟文, 钟才荣, 吕晓波, 方赞山, 程成. 3种海桑属濒危红树植物的种群结构与动态特征[J]. 植物研究, 2023, 43(2): 231-241.
Mengwen ZHANG, Cairong ZHONG, Xiaobo LÜ, Zanshan FANG, Cheng CHENG. Population Structure and Dynamic Characteristics of Three Endangered Mangrove Species from Genus Sonneratia[J]. Bulletin of Botanical Research, 2023, 43(2): 231-241.
表1
样地基本情况
种群 Population | 样地数量 Number of sample plot | 坐标 Longitude & latitude | 平均高度 Average height /m | 丰富度 Diversity | 群系 Formation | 郁闭度 Crown density /% | 海水盐度 Salinity /% |
|---|---|---|---|---|---|---|---|
海南海桑 S.×hainanensis | 16 | 19°37′11″N 110°53′8″E | 5.2 | 15 | 木榄+杯萼海桑、海桑+海莲,等 Bruguiera gymnorhiza+Sonneratia alba, Sonneratia caseolaris+Bruguiera sexangula,et al. | 50~80 | 156~209 |
拟海桑 S.×gulngai | 10 | 19°37′27″N 110°49′54″E | 9.3 | 11 | 拟海桑+杯萼海桑、拟海桑+海漆,等 Sonneratia×gulngai+Sonneratia alba, Sonneratia×gulngai+Excoecaria agallocha,et al. | 50~60 | 186~218 |
卵叶海桑 S. ovata | 8 | 19°37′58″N 110°48′35″E | 4.4 | 8 | 卵叶海桑+海莲,等 Sonneratia ovata+Bruguiera sexangula,et al. | 40~50 | 85~121 |
表2
3种海桑属濒危植物种群动态变化指数
种群动态指数级 Population dynamic index | 动态指数 Dynamic index value /% | ||
|---|---|---|---|
海南海桑 S.×hainanensis | 拟海桑 S.×gulngai | 卵叶海桑 S. ovata | |
| V1 | -100.00 | -100.00 | 57.02 |
| V2 | -84.00 | -50.00 | 16.33 |
| V3 | -16.67 | 0.00 | 75.61 |
| V4 | 16.67 | -88.89 | 20.00 |
| V5 | -7.41 | -43.75 | 87.50 |
| V6 | 70.37 | -27.27 | 0.00 |
| V7 | -20.00 | 11.36 | 100.00 |
| V8 | 50.00 | 61.54 | — |
| V9 | 100.00 | 13.33 | — |
| V10 | -100.00 | 61.54 | — |
| Vpi | 9.56 | 11.77 | 50.89 |
| V′ pi | 0.44 | 0.53 | 4.63 |
表3
3种海桑属濒危植物种群静态生命表
种群 Population | 龄级χ Age class | Aχ | aχ | lχ | lnlχ | dχ | qχ | Lχ | Tχ | eχ | Kχ |
|---|---|---|---|---|---|---|---|---|---|---|---|
海南海桑 S.×hainanensis | Ⅰ | 0 | 32 | 1 000 | 6.908 | 156 | 0.156 | 922 | 3 750 | 3.750 | 0.170 |
| Ⅱ | 4 | 27 | 844 | 6.738 | 156 | 0.185 | 766 | 2 828 | 3.352 | 0.205 | |
| Ⅲ | 25 | 22 | 688 | 6.533 | 156 | 0.227 | 609 | 2 063 | 3.000 | 0.258 | |
| Ⅳ | 30 | 17 | 531 | 6.275 | 156 | 0.294 | 453 | 1 453 | 2.735 | 0.348 | |
| Ⅴ | 25 | 12 | 375 | 5.927 | 125 | 0.333 | 313 | 1 000 | 2.667 | 0.405 | |
| Ⅵ | 27 | 8 | 250 | 5.521 | 63 | 0.250 | 219 | 688 | 2.750 | 0.288 | |
| Ⅶ | 8 | 6 | 188 | 5.234 | 31 | 0.167 | 172 | 469 | 2.500 | 0.182 | |
| Ⅷ | 10 | 5 | 156 | 5.051 | 31 | 0.200 | 141 | 297 | 1.900 | 0.223 | |
| Ⅸ | 5 | 4 | 125 | 4.828 | 63 | 0.500 | 94 | 156 | 1.250 | 0.693 | |
| Ⅹ | 0 | 2 | 63 | 4.135 | 31 | 0.500 | 47 | 63 | 1.000 | 0.693 | |
| Ⅺ | 2 | 1 | 31 | 3.442 | 31 | 1.000 | 16 | 16 | 0.512 | — | |
拟海桑 S.×gulngai | Ⅰ | 0 | 42 | 1 000 | 6.908 | 143 | 0.143 | 929 | 3 524 | 3.524 | 0.154 |
| Ⅱ | 1 | 36 | 857 | 6.754 | 214 | 0.250 | 750 | 2 595 | 3.028 | 0.288 | |
| Ⅲ | 2 | 27 | 643 | 6.466 | 143 | 0.222 | 571 | 1 845 | 2.870 | 0.251 | |
| Ⅳ | 2 | 21 | 500 | 6.215 | 143 | 0.286 | 429 | 1 274 | 2.548 | 0.336 | |
| Ⅴ | 18 | 15 | 357 | 5.878 | 119 | 0.333 | 298 | 845 | 2.367 | 0.405 | |
| Ⅵ | 32 | 10 | 238 | 5.473 | 71 | 0.300 | 202 | 548 | 2.300 | 0.357 | |
| Ⅶ | 44 | 7 | 167 | 5.116 | 48 | 0.286 | 143 | 345 | 2.071 | 0.336 | |
| Ⅷ | 39 | 5 | 119 | 4.780 | 48 | 0.400 | 95 | 202 | 1.700 | 0.511 | |
| Ⅸ | 15 | 3 | 71 | 4.269 | 24 | 0.333 | 60 | 107 | 1.500 | 0.405 | |
| Ⅹ | 13 | 2 | 48 | 3.863 | 24 | 0.500 | 36 | 48 | 1.000 | 0.693 | |
| Ⅺ | 5 | 1 | 24 | 3.170 | 24 | 1.000 | 12 | 12 | 0.504 | — | |
卵叶海桑 S. ovata | Ⅰ | 114 | 96 | 842 | 6.736 | 412 | 0.490 | 636 | 1 544 | 1.833 | 0.673 |
| Ⅱ | 49 | 49 | 430 | 6.063 | 70 | 0.163 | 395 | 908 | 2.112 | 0.178 | |
| Ⅲ | 41 | 41 | 360 | 5.885 | 272 | 0.756 | 224 | 513 | 1.427 | 1.411 | |
| Ⅳ | 10 | 10 | 88 | 4.474 | 26 | 0.300 | 75 | 289 | 3.300 | 0.357 | |
| Ⅴ | 8 | 7 | 61 | 4.117 | 9 | 0.143 | 57 | 215 | 3.500 | 0.154 | |
| Ⅵ | 1 | 6 | 53 | 3.963 | 9 | 0.167 | 48 | 158 | 3.000 | 0.182 | |
| Ⅶ | 1 | 5 | 44 | 3.781 | 9 | 0.200 | 39 | 110 | 2.500 | 0.223 | |
| Ⅷ | 0 | 4 | 35 | 3.558 | 9 | 0.250 | 31 | 70 | 2.000 | 0.288 | |
| Ⅸ | 0 | 3 | 26 | 3.270 | 9 | 0.333 | 22 | 39 | 1.500 | 0.405 | |
| Ⅹ | 0 | 2 | 18 | 2.865 | 9 | 0.500 | 13 | 18 | 1.000 | 0.693 | |
| Ⅺ | 0 | 1 | 9 | 2.172 | 9 | 1.000 | 4 | 4 | 0.500 | — |
表4
三种海桑属濒危植物种群动态变化的时间序列分析
种群 Population | 龄级 Age class | 原始数据 Primary data | M2(1) | M4(1) | M6(1) | M8(1) | M10(1) |
|---|---|---|---|---|---|---|---|
海南海桑 S.×hainanensis | Ⅰ | 0 | |||||
| Ⅱ | 4 | 2.00 | |||||
| Ⅲ | 25 | 14.50 | |||||
| Ⅳ | 30 | 27.50 | 14.75 | ||||
| Ⅴ | 25 | 27.50 | 21.00 | ||||
| Ⅵ | 27 | 26.00 | 26.75 | 18.50 | |||
| Ⅶ | 8 | 17.50 | 22.50 | 19.83 | |||
| Ⅷ | 10 | 9.00 | 17.50 | 20.83 | 16.13 | ||
| Ⅸ | 5 | 7.50 | 12.50 | 17.50 | 16.75 | ||
| Ⅹ | 0 | 2.50 | 5.75 | 12.50 | 16.25 | 13.40 | |
| Ⅺ | 2 | 1.00 | 4.25 | 8.67 | 13.38 | 13.60 | |
拟海桑 S.×gulngai | Ⅰ | 0 | |||||
| Ⅱ | 1 | 0.50 | |||||
| Ⅲ | 2 | 1.50 | |||||
| Ⅳ | 2 | 2.00 | 1.25 | ||||
| Ⅴ | 18 | 10.00 | 5.75 | ||||
| Ⅵ | 32 | 25.00 | 13.50 | 9.17 | |||
| Ⅶ | 44 | 38.00 | 24.00 | 16.50 | |||
| Ⅷ | 39 | 41.50 | 33.25 | 22.83 | 17.25 | ||
| Ⅸ | 15 | 27.00 | 32.50 | 25.00 | 19.13 | ||
| Ⅹ | 13 | 14.00 | 27.75 | 26.83 | 20.63 | 16.60 | |
| Ⅺ | 5 | 9.00 | 18.00 | 24.67 | 21.00 | 17.10 | |
卵叶海桑 S. ovata | Ⅰ | 114 | |||||
| Ⅱ | 49 | 81.50 | |||||
| Ⅲ | 41 | 45.00 | |||||
| Ⅳ | 10 | 25.50 | 53.50 | ||||
| Ⅴ | 8 | 9.00 | 27.00 | ||||
| Ⅵ | 1 | 4.50 | 15.00 | 37.17 | |||
| Ⅶ | 1 | 1.00 | 5.00 | 18.33 | |||
| Ⅷ | 0 | 0.50 | 2.50 | 10.17 | 28.00 | ||
| Ⅸ | 0 | 0.00 | 0.50 | 3.33 | 13.75 | ||
| Ⅹ | 0 | 0.00 | 0.25 | 1.67 | 7.63 | 22.40 | |
| Ⅺ | 0 | 0.00 | 0.00 | 0.33 | 2.50 | 11.00 |
| 1 | XU Z H, REN H, WEI X,et al.Distribution and conservation status of Camellia longzhouensis(Theaceae),a critically endangered plant species endemic to southern China[J].Global Ecology and Conservation,2021,27:e01585. |
| 2 | LUGHADHA ENIC, BACHMAN S P, LEÃO T C C,et al.Extinction risk and threats to plants and fungi[J].Plants People Planet,2020,2(5):389-408. |
| 3 | 覃海宁,赵莉娜.中国高等植物濒危状况评估[J].生物多样性,2017,25(7):689-695. |
| QIN H N, ZHAO L N.Evaluating the threat status of higher plants in China[J].Biodiversity Science,2017,25(7):689-695. | |
| 4 | TANG C Q, LI T X, ZHU X H.Structure and regeneration dynamics of three subtropical midmontane moist evergreen broad-leaved forests in southwestern China,with special reference to bamboo in the forest understories[J].Canadian Journal of Forest Research,2007,37(12):2701-2714. |
| 6 | 姜在民,和子森,宿昊,等.濒危植物羽叶丁香种群结构与动态特征[J].生态学报,2018,38(7):2471-2480. |
| JIANG Z M, HE Z S, SU H,et al.Population structure and dynamic characteristics of endangered Syringa pinnatifolia Hemsl[J].Acta Ecologica Sinica,2018,38(7):2471-2480. | |
| 7 | 杨立荣,张治礼,云勇,等.濒危植物海南龙血树的种群结构与动态[J].生态学报,2018,38(8):2802-2815. |
| YANG L R, ZHANG Z L, YUN Y,et al.The population structure and dynamics of Dracaena cambodiana,an endangered tree on Hainan Island[J].Acta Ecologica Sinica,2018,38(8):2802-2815. | |
| 8 | 罗西,郭秋菊,姚兰,等.濒危植物鹅掌楸的天然种群结构特征[J].中南林业科技大学学报,2021,41(7):115-123. |
| LUO X, GUO Q J, YAO L,et al.Characteristics of natural population structure of endangered plant Liriodendron chinense [J].Journal of Central South University of Forestry & Technology,2021,41(7):115-123. | |
| 9 | 廖宝文,李玫,陈玉军.中国红树林恢复与重建技术[M].北京:科学出版社,2010. |
| LIAO B W, LI M, CHEN Y J.Techniques on restoration and reconstruction of mangrove ecosystem in China[M].Beijing:Science Press,2010. | |
| 10 | 周晨昊,毛覃愉,徐晓,等.中国海岸带蓝碳生态系统碳汇潜力的初步分析[J].中国科学:生命科学,2016,46(4):475-486. |
| ZHOU C H, MAO Q Y, XU X,et al.Preliminary analysis of C sequestration potential of blue carbon ecosystems on Chinese coastal zone[J].Scientia Sinica:Vitae,2016,46(4):475-486. | |
| 11 | 王文卿,王瑁.中国红树林[M].北京:科学出版社,2007. |
| WANG W Q, WANG M.The mangroves of China[M].Beijing:Science Press,2007. | |
| 12 | 胡刚,黎洁,覃盈盈,等.广西北仑河口红树植物种群结构与动态特征[J].生态学报,2018,38(9):3022-3034. |
| HU G, LI J, QIN Y Y,et al.Population structure and dynamics of mangrove species in Beilun Estuary,Guangxi,southern China[J].Acta Ecologica Sinica,2018,38(9):3022-3034. | |
| 13 | 张颖,陈光程,钟才荣.中国濒危红树植物研究与恢复现状[J].应用海洋学学报,2021,40(1):142-153. |
| ZHANG Y, CHEN G C, ZHONG C R.Research on endangered mangrove species and recovery status in China[J].Journal of Applied Oceanography,2021,40(1):142-153. | |
| 14 | 易湘茜,覃媚,高程海,等.红树海桑属植物化学成分及生物活性研究进展[J].广西科学院学报,2016,32(4):237-244. |
| YI X X, QIN M, GAO C H,et al.Review on the compounds and biological activity of mangrove plants Sonneratia sp.[J].Journal of Guangxi Academy of Sciences,2016,32(4):237-244. | |
| 15 | ZHONG C R, LI D L, ZHANG Y.Description of a new natural Sonneratia hybrid from Hainan Island,China[J].PhytoKeys,2020,154(2):1-9. |
| 16 | 陈鹭真,钟才荣,陈松,等.海口湿地-红树林篇[M].厦门:厦门大学出版社,2019. |
| CHEN L Z, ZHONG C R, CHEN S,et al.Haikou wetland-Mangrove[M].Xiamen:Xiamen University Press,2019. | |
| 17 | 周仁超.海桑属的自然杂交与物种形成[D].广州:中山大学,2006. |
| ZHOU R C.Natural hybridization and speciation in Sonneratia [D].Guangzhou:Sun Yat-sen University,2006. | |
| 18 | 孙稚颖,李强,田晓萌,等.中国红树类海桑属植物DNA条形码研究[J].世界科学技术-中医药现代化,2021,23(6):2036-2042. |
| SUN Z Y, LI Q, TIAN X M,et al.Study on DNA barcoding of Sonneratia of Chinese mangrove plants[J].Modernization of Traditional Chinese Medicine and Materia Medica-World Science and Technology,2021,23(6):2036-2042. | |
| 19 | 任飞艳,张峰,张丽娜,等.濒危红树植物卵叶海桑的种子萌发特性[J].分子植物育种,2021,19(15):5150-5156. |
| REN F Y, ZHANG F, ZHANG L N,et al.Seed germination traits of endangered mangrove plant Sonneratia ovata [J].Molecular Plant Breeding,2021,19(15):5150-5156. | |
| 20 | 任飞艳,陈显,王士泉.卵叶海桑花粉活力测定方法的比较研究[J].种子,2021,40(3):35-39. |
| REN F Y, CHEN X, WANG S Q.Comparative study on the determination methods of pollen viability of Sonneratia ovata [J].Seed,2021,40(3):35-39. | |
| 21 | 张孟文,李文泉,吴庆书,等.濒危植物海南海桑种子萌发与环境因子的关系研究[J].林业实用技术,2012(12):3-6. |
| ZHANG M W, LI W Q, WU Q S,et al.Studies on the relationship between seed germination and environmental factors of endangered plant Sonneratia × hainanensis [J].Practical Forestry Technology,2012(12):3-6. | |
| 22 | ZHANG M W, YANG X B, LONG W X,et al.Reasons for the extremely small population of putative hybrid Sonneratia×hainanensis W.C.Ko(Lythraceae)[J].Forests,2019,10(6),526. |
| 23 | 苗双,满玉清,周肖龙,等.红树植物拟海桑化学成分研究[J].中草药,2018,49(5):1025-1030. |
| MIAO S, MAN Y Q, ZHOU X L,et al.Chemical constituents from mangrove plant Sonneratia paracaseolaris [J].Chinese Traditional and Herbal Drugs,2018,49(5):1025-1030. | |
| 24 | 张孟文.海南岛2种红树林自然杂交种与亲本的种群发育对环境适应性比较研究[D].海口:海南大学,2019. |
| ZHANG M W.Comparative study on environmental adaptability of population development between two mangrove natural hybrids and their parents in Hainan Island[D].Haikou:Hainan University,2019. | |
| 25 | 陈晓德.植物种群与群落结构动态量化分析方法研究[J].生态学报,1998,18(2):104-107. |
| CHEN X D.A study on the method of quantitative analysis for plant population and community structural dynamics[J].Acta Ecologica Sinica,1998,18(2):104-107. | |
| 26 | 张金峰,葛树森,梁金花,等.长白山阔叶红松林紫椴种群结构与动态特征[J].生态学报,2022,42(13):5381-5390. |
| ZHANG J F, GE S S, LIANG J H,et al.Population structure and dynamic characteristics of Tilia amurensis in broad-leaved Korean pine mixed forest in Changbai Mountain[J].Acta Ecologica Sinica,2022,42(13):5381-5390. | |
| 27 | HETT J M, LOUCKS O L.Age structure models of balsam fir and eastern hemlock[J].The Journal of Ecology,1976,64(3):1029. |
| 28 | 王进,姚兰,艾训儒,等.鄂西南不同区域亮叶桦种群结构与动态特征[J].应用生态学报,2020,31(2):357-365. |
| WANG J, YAO L, AI X R,et al.Structure and dynamic characteristics of Betula luminifera populations in different regions of Southwest Hubei Province,China[J].Chinese Journal of Applied Ecology,2020,31(2):357-365. | |
| 29 | 王泳腾,黄治昊,王俊,等.燕山山脉黄檗种群结构与动态特征[J].生态学报,2021,41(7):2826-2834. |
| WANG Y T, HUANG Z H, WANG J,et al.The population structure and dynamic characteristics of Phellodendron amurense in Yanshan Mountains[J].Acta Ecologica Sinica,2021,41(7):2826-2834. | |
| 30 | 舒琪,胡璇,徐瑞晶,等.海南岛甘什岭青梅种群结构与动态[J].林业科学,2020,56(5):160-167. |
| SHU Q, HU X, XU R J,et al.Population structure and dynamics of Vatica mangachapoi in Ganshiling,Hainan Island,China[J].Scientia Silvae Sinicae,2020,56(5):160-167. | |
| 31 | 拓锋,刘贤德,黄冬柳,等.祁连山大野口流域青海云杉种群数量动态[J].生态学报,2021,41(17):6871-6882. |
| TA F, LIU X D, HUANG D L,et al.Quantitative dynamics of Picea crassifolia population in Dayekou basin of Qilian Mountains[J].Acta Ecologica Sinica,2021,41(17):6871-6882. | |
| 32 | 江洪.云杉种群生态学[M].北京:中国林业出版社,1992. |
| JIANG H.Population ecology of Picea asperata [M].Beijing:China Forestry Publishing House,1992. | |
| 33 | 王立龙,王亮,张丽芳,等.不同生境下濒危植物裸果木种群结构及动态特征[J].植物生态学报,2015,39(10):980-989. |
| WANG L L, WANG L, ZHANG L F,et al.Structure and dynamic characteristics of Gymnocarpos przewalskii in different habitats[J].Chinese Journal of Plant Ecology,2015,39(10):980-989. | |
| 34 | 刘海燕,杨乃坤,李媛媛,等.稀有濒危植物长柱红山茶种群特征及数量动态研究[J].植物科学学报,2016,34(1):89-98. |
| LIU H Y, YANG N K, LI Y Y,et al.Population structure and dynamic analysis of the rare and endangered plant Camellia longistyla [J].Plant Science Journal,2016,34(1):89-98. | |
| 35 | 肖书礼,付梦媛,杨科,等.极小种群野生植物峨眉含笑的种群结构与数量动态[J].西北植物学报,2019,39(7):1279-1288. |
| XIAO S L, FU M Y, YANG K,et al.Population structure and quantitative dynamics of an extremely small population,Michelia wilsonii [J].Acta Botanica Boreali-Occidentalia Sinica,2019,39(7):1279-1288 |
| [1] | 徐云飞, 刘沁松, 徐文娟, 唐俊峰, 董廷发, 杨宝臻, 胥晓. 天然珙桐种群结构与动态特征在高低纬度地区的差异[J]. 植物研究, 2020, 40(6): 855-866. |
| [2] | 王飞, 霍怀成, 赵阳, 曹秀文, 刘锦乾, 杨永红, 张涛, 齐昊, 王若鉴. 甘南高山林线岷江冷杉—杜鹃种群结构与动态[J]. 植物研究, 2019, 39(5): 664-672. |
| [3] | 李金昕1;吴定军2;章世鹏2;何显湘2;陈坚2;史清茂2;胥晓1*. 四川米仓山自然保护区台湾水青冈种群生命表及动态分析[J]. 植物研究, 2016, 36(1): 68-74. |
| [4] | 张群芳;彭培好*;王娟;刘贤安. 不同干扰条件下红豆树种群数量特征的比较[J]. 植物研究, 2015, 35(5): 735-740. |
| [5] | 吴友贵;许大明;兰荣光;吴天明;吴义松;骆争荣. 百山祖常绿阔叶林优势种群枯死木的结构特征[J]. 植物研究, 2015, 35(3): 436-442. |
| [6] | 任洁;张光富*;胡瑞坤;孙国;俞立鹏. 浙江龙王山银缕梅种群结构和分布格局研究[J]. 植物研究, 2012, 32(5): 554-560. |
| [7] | 岳华峰;井振华;邵文豪;姜景民*;夏莘;黄琳. 浙江天目山苦槠种群结构和动态研究[J]. 植物研究, 2012, 32(4): 473-480. |
| [8] | 金雅琴;李冬林;孙晓龙;刘儒. 南京方山朴树种群结构与分布格局研究[J]. 植物研究, 2011, 31(5): 603-609. |
| [9] | 熊能;金则新*;陈琢. 千岛湖姥山马尾松种群结构和分布格局研究[J]. 植物研究, 2010, 30(5): 537-542. |
| [10] | 李清河;高婷婷;刘建锋;辛智鸣;徐军. 荒漠珍稀灌木半日花种群的年龄结构与生命表分析[J]. 植物研究, 2009, 29(2): 176-181. |
| [11] | 孙 澜;苏智先*;张素兰;严贤春;权秋梅. 嘉陵江流域南充金城山森林群落结构特征分析[J]. 植物研究, 2008, 28(3): 364-369. |
| [12] | 李海生;陈桂珠*. 海桑属植物分子鉴定的ISSR分析[J]. 植物研究, 2008, 28(2): 205-210. |
| [13] | 马万里;罗菊春;荆 涛;Joni Kujansuu. 长白山林区核桃楸种群数量动态变化的研究[J]. 植物研究, 2008, 28(2): 249-253. |
| [14] | 刘任涛;毕润成;闫桂琴. 山西南部翅果油树种群动态与谱分析[J]. 植物研究, 2007, 27(5): 550-555. |
| [15] | 郭连金;徐卫红. 武夷山米槠种群结构及谱分析[J]. 植物研究, 2007, 27(3): 325-330. |
| 阅读次数 | ||||||
|
全文 |
|
|||||
|
摘要 |
|
|||||