欢迎访问《植物研究》杂志官方网站,今天是 分享到:

植物研究 ›› 2023, Vol. 43 ›› Issue (5): 657-666.doi: 10.7525/j.issn.1673-5102.2023.05.003

• 遗传与育种 • 上一篇    下一篇

不同番茄种质的耐涝能力评价

周露华1,2, 方俊仪1,2, 熊子墨1, 巫伟峰1, 刘佳瑞1,2, 陆乔3, 凌宏清3, 孔丹宇1,2   

  1. 1.江西省中国科学院庐山植物园,九江 332800
    2.南昌大学生命科学学院,南昌 330031
    3.中国科学院遗传与发育生物学研究所,北京 100101
  • 收稿日期:2023-05-19 出版日期:2023-09-20 发布日期:2023-09-05
  • 作者简介:周露华(1995—),女,硕士研究生,主要从事植物分子遗传学研究。
  • 基金资助:
    江西省双千计划(jxsq2020101088);九江市双百双千人才项目(jjsbsq2020005)

Evaluation on Waterlogging Tolerance of Different Tomato Germplasm

Luhua ZHOU1,2, Junyi FANG1,2, Zimo XIONG1, Weifeng WU1, Jiarui LIU1,2, Qiao LU3, Hongqing LING3, Danyu KONG1,2   

  1. 1.Lushan Botanical Garden,Chinese Academy of Sciences,Jiujiang 332800
    2.School of Life Sciences,Nanchang University,Nanchang,330031
    3.Institute of Genetics and Developmental Biology,Chinese Academy of Sciences,Beijing 100101
  • Received:2023-05-19 Online:2023-09-20 Published:2023-09-05
  • About author:ZHOU Luhua(1995—),female,Master candidate,major in plant molecular genetics.
  • Supported by:
    Jiangxi Talent Project(jxsq2020101088);Jiujiang Talent Project(jjsbsq2020005)

摘要:

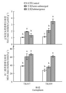
为了筛选出耐涝能力良好的番茄(Solanum)种质,以50份番茄种质作为研究对象,比较其在半淹及全淹处理后的成活率和各项生理指标,筛选出12个在7 d全淹处理后存活率为100%的耐涝型番茄种质,发现耐涝型番茄种质在普通番茄(S. lycopersicum)、樱桃番茄(S. lycopersicum var. cerasiforme)和醋栗番茄(S. pimpinellifolium)中均有分布;进一步对耐涝型番茄TK017和淹水敏感型番茄TK039的分析表明耐涝型番茄TK017在全淹胁迫下能够更有效地控制体内活性氧含量,从而提高番茄的耐涝能力。

关键词: 番茄, 耐涝, 非生物胁迫

Abstract:

To screen out the tomato(Solanum) germplasm with waterlogging tolerance, 50 tomato germplasm were selected as the research object, and the survival rate and physiological indexes were compared after semi-submerged and submerged treatments respectively. The results showed that 12 waterlogging tolerant tomato germplasm with 100% survival rate after seven days submergence treatment were selected, and 12 waterlogging-tolerant germplasm were observed and distributed in S. lycopersicumS. lycopersicum var. cerasiforme and S. pimpinellifolium respectively. Further analysis on waterlogging-tolerant tomato TK017 and waterlogging-sensitive tomato TK039 revealed that tomato TK017 could control the content of reactive oxygen species more effectively under submergence condition, and improved the waterlogging tolerance of tomato.

Key words: tomato, waterlogging tolerance, abiotic stress

中图分类号: 

Baidu
map