植物研究 ›› 2021, Vol. 41 ›› Issue (5): 798-806.doi: 10.7525/j.issn.1673-5102.2021.05.018
刘龙桀1, 吴可心1, 刁云飞2, 李中跃1, 穆立蔷1(
)
收稿日期:2021-03-20
出版日期:2021-09-20
发布日期:2021-07-05
通讯作者:
穆立蔷
E-mail:mlq0417@163.com
作者简介:刘龙桀(1993—),男,硕士研究生,主要从事资源植物保护与利用的研究。
基金资助:
Long-Jie LIU1, Ke-Xin WU1, Yun-Fei DIAO2, Zhong-Yue LI1, Li-Qiang MU1(
)
Received:2021-03-20
Online:2021-09-20
Published:2021-07-05
Contact:
Li-Qiang MU
E-mail:mlq0417@163.com
About author:LIU Long-Jie(1993—),male,master graduate,mainly engaged in the protection and utilization of resource plants.
Supported by:摘要:
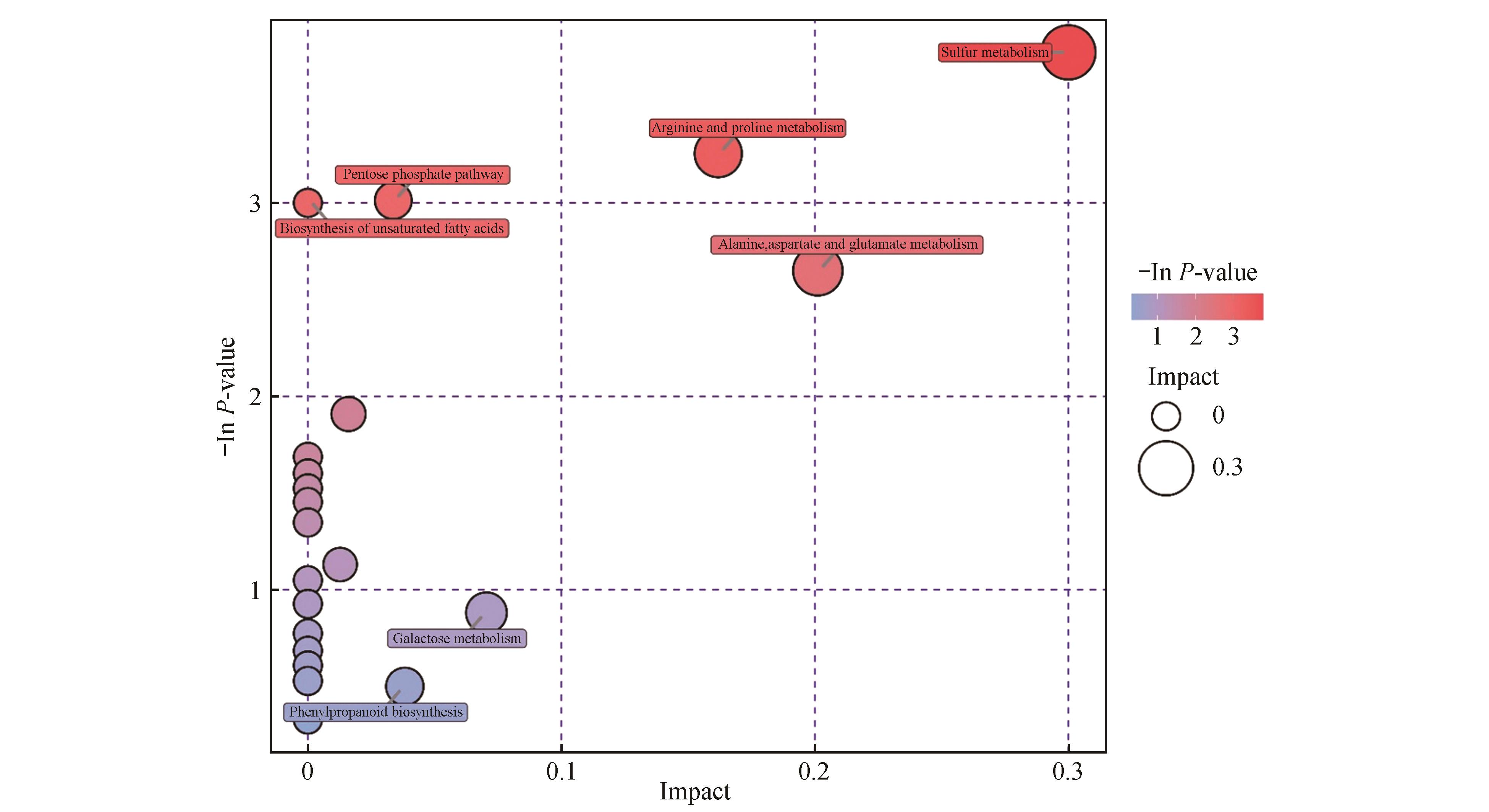
为了探究东北红豆杉野生种和栽培种之间代谢物质的差异,对其进行非靶向代谢组学的分析。利用GC-MS技术以及多元统计分析对野生种和栽培种的树皮进行比较,发现两者代谢物质有差异,总共检测到45种显著差异代谢物,主要包括4种氨基酸、10种有机酸和一些糖醇等。其中有22个代谢物质表达上调,23个表达下调,通过KEGG进行通路分析发现其中有7条通路影响较显著,分别为硫代谢,精氨酸和脯氨酸代谢,磷酸戊糖途径,不饱和脂肪酸的生物合成,半乳糖代谢,丙氨酸、天冬氨酸和谷氨酸代谢,苯丙烷类生物合成。其中检测到的代谢物如氨基酸和有机酸在栽培种中有更高的表达,东北红豆杉野生种在抗逆性能上弱于栽培种。而糖类却在野生种中表达更高,东北红豆杉野生种拥有更好的糖代谢能力,来抵御低温胁迫,本实验为指导东北红豆杉野生种的保护和东北红豆杉的抗逆性机理的研究提供了理论依据。
中图分类号:
刘龙桀, 吴可心, 刁云飞, 李中跃, 穆立蔷. 基于GC-MS分析东北红豆杉野生种与栽培种的代谢差异[J]. 植物研究, 2021, 41(5): 798-806.
Long-Jie LIU, Ke-Xin WU, Yun-Fei DIAO, Zhong-Yue LI, Li-Qiang MU. Metabolic Differences Between Wild and Cultivated Species of Taxus cuspidata Based on GC-MS[J]. Bulletin of Botanical Research, 2021, 41(5): 798-806.
表1
筛选的差异代谢物
| ID | 名称Name | VIP | P-value | Fold change | log2FC | |
|---|---|---|---|---|---|---|
| 658 | 棕榈酸 palmitic acid | 1.472 112 499 | 0.042 524 506 | 0.535 815 892 | -0.900 190 724 | 下调 |
| 411 | 4-羟基苯甲醛 4-hydroxybenzaldehyde 2 | 1.544 527 986 | 0.003 955 057 | 1.941 45E-06 | -18.974 436 85 | 下调 |
| 694 | 硬脂酸 stearic acid | 1.497 638 559 | 0.028 629 822 | 0.535 337 429 | -0.901 479 571 | 下调 |
| 506 | 4-羟基苯甲腈 4-Hydroxymandelonitrile | 1.214 786 018 | 0.002 571 763 | 0.058 783 87 | -4.088 435 851 | 下调 |
| 475 | 4-羟基苯甲酸 4-Hydroxybenzoic acid | 1.368 793 998 | 0.021 544 072 | 0.669 615 096 | -0.578 596 043 | 下调 |
| 155 | 4-羟基吡啶 4-HYDROXYPYRIDINE | 1.443 822 285 | 0.009 498 300 | 0.840 256 426 | -0.251 098 425 | 下调 |
| 789 | 龙胆二糖 Gentiobiose | 1.503 333 156 | 0.002 166 261 | 3.170 004 126 | 1.664 484 718 | 上调 |
| 514 | D-阿拉伯糖醇 D-Arabitol | 1.465 817 496 | 0.000 396 016 | 7.113 321 81 | 2.830 523 433 | 上调 |
| 861 | 1-科斯糖 1-Kestose | 1.268 962 621 | 0.001 518 882 | 193.666 081 7 | 7.597 427 495 | 上调 |
| 485 | 来苏糖 Lyxose | 1.544 552 429 | 9.528E-05 | 240 552.384 5 | 17.875 991 58 | 上调 |
| 795 | 表儿茶素 Epicatechin | 1.355 757 434 | 0.005 109 837 | 3.399 529 096 | 1.765 334 918 | 上调 |
| 425 | 天冬氨酸 aspartic acid | 1.544 617 254 | 0.025 415 003 | 30 842.034 24 | 14.912 610 3 | 上调 |
| 571 | 3,4-二羟基苯甲酸 3,4-dihydroxybenzoic acid | 1.380 354 325 | 0.017 728 938 | 1.839 624 364 | 0.879 411 21 | 上调 |
| 495 | 核糖 ribose | 1.308 834 145 | 0.024 426 711 | 1.685 392 321 | 0.753 084 457 | 上调 |
| 173 | 磷酸甲酯 Methyl Phosphate | 1.536 530 831 | 0.000 100 881 | 0.383 876 835 | -1.381 284 591 | 下调 |
| 664 | N-乙酰-β-D-甘露糖胺 N-Acetyl-beta-D-mannosamine | 1.360 171 221 | 0.017 607 864 | 0.705 092 33 | -0.504 115 907 | 下调 |
| 796 | 蜜二糖 melibiose | 1.331 541 409 | 0.022 315 947 | 1.833 279 006 | 0.874 426 366 | 上调 |
| 824 | 半乳糖肌醇 Galactinol | 1.380 398 803 | 0.005 019 350 | 192.384 961 2 | 7.587 852 217 | 上调 |
| 661 | 阿魏酸 ferulic acid | 1.378 890 959 | 0.020 800 118 | 0.732 231 664 | -0.449 627 934 | 下调 |
| 502 | 木糖醇 xylitol | 1.125 511 036 | 0.020 225 209 | 5.213 271 765 | 2.382 189 069 | 上调 |
| 874 | 麦芽糖三醇 Maltotriitol | 1.417 795 071 | 0.002 392 486 | 2.336 304 729 | 1.224 228 46 | 上调 |
| 811 | 表没食子儿茶素 Epigallocatechin | 1.039 175 639 | 4.223 48E-06 | 22.554 946 83 | 4.495 371 98 | 上调 |
| 721 | 丁丙氧嘧啶 D-erythro-sphingosine | 1.327 665 357 | 8.729 89E-08 | 198.005 361 | 7.629 395 681 | 上调 |
| 477 | 天冬酰胺 asparagine | 1.271 606 986 | 0.044 071 336 | 0.786 124 917 | -0.347 169 516 | 下调 |
| 163 | 硫酸 sulfuric acid | 1.302 102 309 | 0.030 678 318 | 0.864 522 349 | -0.210 024 835 | 下调 |
| 552 | 2-脱氧-D-半乳糖 2-Deoxy-D-galactose | 1.544 150 397 | 0.008 833 495 | 2.629E-06 | -18.537 053 48 | 下调 |
| 725 | 花生油酸 Arachidic acid | 1.386 794 033 | 0.016 775 709 | 0.732 380 903 | -0.449 333 921 | 下调 |
| 499 | 二氢香豆素 dihydrocoumarin 1 | 1.464 121 803 | 0.005 774 149 | 0.383 730 094 | -1.381 836 182 | 下调 |
| 814 | 异麦芽酮糖醇 palatinitol | 1.430 704 001 | 0.006 094 907 | 2.048 883 004 | 1.034 837 606 | 上调 |
| 538 | 瓜氨酸 citrulline | 1.544 470 902 | 0.004 465 438 | 3.192 56E-07 | -21.578 782 69 | 下调 |
| 426 | 鸟氨酸 ornithine | 1.364 840 559 | 0.017 914 685 | 0.731 521 11 | -0.451 028 597 | 下调 |
| 601 | 山梨糖 sorbose | 1.544 410 152 | 0.001 487 191 | 805 180.731 4 | 19.618 953 12 | 上调 |
| 858 | 4-胆固醇-3-酮 4-Cholesten-3-one | 1.544 608 860 | 0.000 762 440 | 59 354.002 67 | 15.857 057 7 | 上调 |
| 328 | 2,3-二甲基丁二酸 2,3-Dimethylsuccinic acid | 1.444 865 796 | 0.008 480 610 | 0.899 640 039 | -0.152 580 225 | 下调 |
| 376 | 2,4-二氨基丁酸 2,4-diaminobutyric acid | 1.261 381 228 | 0.032 168 903 | 0.711 556 396 | -0.490 949 99 | 下调 |
| 867 | α-蜕皮激素 alpha-Ecdysone | 1.544 592 096 | 0.016 276 997 | 77 151.015 39 | 16.235 397 52 | 上调 |
| 138 | 2-酮戊酸 2-Ketovaleric acid | 1.343 071 542 | 0.021 088 473 | 0.795 735 998 | -0.329 638 229 | 下调 |
| 309 | 尿嘧啶 uracil | 1.323 357 352 | 0.023 793 329 | 0.749 594 248 | -0.415 818 212 | 下调 |
| 61 | 2-羟基吡啶 2-hydroxypyridine | 1.468 374 875 | 0.004 202 588 | 0.822 850 854 | -0.281 297 136 | 下调 |
| 263 | 环己基甲酰胺 N-cyclohexylformamide | 1.360 027 301 | 0.029 399 313 | 0.796 604 153 | -0.328 065 094 | 下调 |
| 351 | O-乙酰丝氨酸 O-acetylserine | 1.336 593 662 | 0.046 415 957 | 1.736 223 273 | 0.795 952 486 | 上调 |
| 406 | 双(2-羟丙基)氨基 Bis(2-hydroxypropyl)amine | 1.336 869 479 | 0.032 568 816 | 1.241 578 555 | 0.312 175 544 | 上调 |
| 669 | 顺式-植醇 cis-Phytol | 1.513 264 413 | 0.000 672 088 | 0.578 733 293 | -0.789 029 454 | 下调 |
| 456 | 3-苯基乳酸 3-Phenyllactic acid | 1.216 295 145 | 0.043 426 151 | 15.889 975 46 | 3.990 044 992 | 上调 |
| 501 | 茉莉酸甲酯 Methyl jasmonate | 1.397 339 118 | 0.006 402 332 | 0.708 984 225 | -0.496 174 568 | 下调 |
| 1 | 尹雪,穆立蔷,李中跃,等.3种鸟类对东北红豆杉的取食方式及传播[J].星空游戏免费版下载学报,2016,44(1):81-84,89. |
| Yin X,Mu L Q,Li Z Y,et al.Fruits foraging patterns and seed dispersal effect of three kinds of birds on Taxus cuspidata[J].Journal of Northeast Forestry University,2016,44(1):81-84,89. | |
| 2 | 刘彤,胡林林,郑红,等.天然东北红豆杉土壤种子库研究[J].生态学报,2009,29(4):1869-1876. |
| Liu T,Hu L L,Zheng H,et al.Researchs on soil seed bank of Japanese yew[J].Acta Ecologica Sinica,2009,29(4):1869-1876. | |
| 3 | 费永俊,雷泽湘,余昌均,等.中国红豆杉属植物的濒危原因及可持续利用对策[J].自然资源,1997,19(5):59-63. |
| Fei Y J,Lei Z X,Yu C J,et al.The cause for endangerment of Taxus L. and measures for its sustainable development in china [J].Natural Resources,1997,19(5):59-63. | |
| 4 | 臧润国,董鸣,李俊清,等.典型极小种群野生植物保护与恢复技术研究[J].生态学报,2016,36(22):7130-7135. |
| Zang R G,Dong M,Li J Q,et al.Conservation and restoration for typical critically endangered wild plants with extremely small population[J].Acta Ecologica Sinica,2016,36(22):7130-7135. | |
| 5 | 张银,李文杰,李玲丽,等.模拟酸雨对3种红豆杉幼苗生理指标的影响[J].西部林业科学,2020,49(1):120-127. |
| Zhang Y,Li W J,Li L L,et al.Effects of simulated acid rain on physiological indexes of three species of Taxus seedlings[J].Journal of West China Forestry Science,2020,49(1):120-127. | |
| 6 | 刁云飞,刘延坤,刘玉龙,等.穆棱东北红豆杉种群结构特征[J].中国科学:生命科学,2020,50(4):391-397. |
| Diao Y F,Liu Y K,Liu Y L,et al.Population structure characteristics of Taxus cuspidata[J].Scientia Sinica Vitae,2020,50(4):391-397. | |
| 7 | Zu Y G,Chen H F,Wang W J,et al.Population structure and distribution pattern of Taxus cuspidata in Muling region of Heilongjiang Province,China[J].Journal of Forestry Research,2006,17(1):80-82. |
| 8 | 曹聪梅,李作平,史清文.东北红豆杉的化学成分和药理作用研究进展[J].天然产物研究与开发,2006,18(2):330-342,259. |
| Cao C M,Li Z P,Shi Q W.Chemical constituents in Taxus cuspidata and their bioactivities[J].Natural Product Research and Development,2006,18(2):330-342,259. | |
| 9 | 邓立新.抗癌新药紫杉醇简介[J].化学教学,2006(1):46-48. |
| Deng L X Brief introduction of the anti-cancer medicine Peclitaxel[J].Education in Chemistry,2006(1):46-48. | |
| 10 | 王楠楠,黄飞华.红豆杉有效成分及其药理作用研究进展[J].浙江中医杂志,2018,53(8):621-623. |
| Wang N N,Huang F H.Zhejiang Journal of Traditional Chinese Medicine[J].Zhejiang Journal of Traditional Chinese Medicine,2018,53(8):621-623. | |
| 11 | 汤彬, 薛平, 李祥,等.南方红豆杉多糖的含量测定及体外降血糖活性研究[J].食品工业科技,2013,34(009):128-131. |
| Tang B,Xue P,Li X,et al.Study on the determination and hypoglycemic activity in vitro of Taxus chinensis var.mairei polysaccharide[J].Science and Technology of Food Industry,2013,34(9):128-131,136. | |
| 12 | Zhang L,Liu P Z,Li L L,et al.Identification and antioxidant activity of flavonoids extracted from Xinjiang Jujube(Ziziphus jujube Mill.) leaves with ultra-high pressure extraction technology[J].Molecules,2019,24(1):122. |
| 13 | Murahari M,Singh V,Chaubey P,et al.A critical review on anticancer mechanisms of natural flavonoid puerarin[J].Anti-Cancer Agents in Medicinal Chemistry,2020,20(6):678-686. |
| 14 | Chen Y C,Shen S C,Chow J M,et al.Flavone inhibition of tumor growth via apoptosis in vitro and in vivo[J].International Journal of Oncology,2004,25(3):661-670. |
| 15 | 吴世雄,刘艳红,张利民,等.不同产地东北红豆杉幼苗迁地保护的生长稳定性分析[J].星空电竞app下载入口学报,2018,40(12):27-37. |
| Wu S X,Liu Y H,Zhang L M,et al.Growth stability analysis of ex situ conservation of Taxus cuspidata seedlings from different sources[J].Journal of Beijing Forestry University.2018,40(12):27-37. | |
| 16 | 苟晓莉,金晶,毕惠嫦,等.红豆杉枝叶提取物及紫杉烷类成分对4种肿瘤细胞的毒性作用研究[J].中国药理学通报,2016,32(4):591-592. |
| Gou X L,Jin J,Bi H C,et al.Study on antitumor activity of extracts of branches and leaves of Taxus chinensis and taxoids on four cell lines[J].Chinese Pharmacological Bulletin,2016,32(4):591-592. | |
| 17 | Ketchum R E B,Horiguchi T,Qiu D Y,et al.Administering cultured Taxus cells with early precursors reveals bifurcations in the taxoid biosynthetic pathway[J].Phytochemistry,2007,68(3):335-341. |
| 18 | 陈一鸣,王涛,张凤姣,等.南方红豆杉野生种与栽培品种‘金锡杉’针叶代谢物的比较分析[J].西北植物学报,2019,39(5):801-807. |
| Chen Y M,Wang T,Zhang F J,et al.Comparison of metabolites in the needles of Taxus wallichiana var.mairei and Taxus wallichiana var. mairei cv.‘Jinxishan’[J].Acta Botanica Boreali-Occidentalia Sinica,2019,39(5):801-807. | |
| 19 | 李影影,熊耀康.光照强度与南方红豆杉初生代谢产物相关性研究[J].中华中医药杂志,2018,33(6):2659-2664. |
| Li Y Y,Xiong Y K.Collection study between light intensity and primary metabolite content of Taxus mairei(Lemee et Levl.) S.Y.Hu ex Liu.[J].China Journal of Traditional Chinese Medicine and Pharmacy,2018,33(6):2659-2664. | |
| 20 | 张春椿,年慧慧,李效贤,等.GC/MS法对南方红豆杉种皮抑制物分析研究[J].浙江中医药大学学报,2013,37(4):446-450. |
| Zhang C C,Nian H H,Li X X,et al.Study on seed coat dormancy substances of Taxusmairei(Lemee et Levl.) S.Y.Hu ex Liu by GC/MS[J].Journal of Zhejiang Chinese Medical University,2013,37(4):446-450. | |
| 21 | Kind T,Wohlgemuth G,Lee D Y,et al.FiehnLib:mass spectral and retention index libraries for metabolomics based on quadrupole and time-of-flight gas chromatography/mass spectrometry[J].Analytical Chemistry,2009,81(24):10038-10048. |
| 22 | Dunn W B,Broadhurst D,Begley P,et al.Procedures for large-scale metabolic profiling of serum and plasma using gas chromatography and liquid chromatography coupled to mass spectrometry[J].Nature Protocols,2011,6(7):1060-1083. |
| 23 | Jolliffe I T.Principal Component Analysis[J].Journal of Marketing Research,2002,87(4):513. |
| 24 | Wiklund S,Johansson E,Sjöström L,et al.Visualization of GC/TOF-MS-based metabolomics data for identification of biochemically interesting compounds using OPLS class models[J].Analytical chemistry,2008,80(1):115-122. |
| 25 | Trygg J,Wold S.Orthogonal projections to latent structures(O-PLS)[J].Journal of Chemometrics,2002,16(3):119-128. |
| 26 | 洪森荣,吴夏俊鹏,徐文慧,等.低温离体保存黄独微型块茎转录组、蛋白质组和代谢组的关联分析[J].浙江农业学报,2017,29(11):1827-1834. |
| Hong S R,Wuxia J P,Xu W H,et al.Correlation analysis of transcriptome,proteome and metabolome of Dioscorea bulbifera L.microtubers conserved in vitro at low temperature[J].Acta Agriculturae Zhejiangensis,2017,29(11):1827-1834. | |
| 27 | Kanehisa M,Goto S.KEGG:Kyoto encyclopedia of genes and genomes[J].Nucleic Acids Research,2000,28(1):27-30. |
| 28 | Xia J G,Sinelnikov I V,Han B,et al.MetaboAnalyst 3.0-making metabolomics more meaningful[J].Nucleic Acids Research,2015,43(W1):W251-W257. |
| 29 | 许祥明,叶和春,李国凤.脯氨酸代谢与植物抗渗透胁迫的研究进展[J].植物学通报,2000,17(6):536-542. |
| Xu X M,Ye H C,Li G F.Progress in synthesis and metabolism of proline and its relationship with osmotolerance of plants[J].Chinese Bulletin of Botany,2000,17(6):536-542. | |
| 30 | 刘建兵.干旱胁迫对马尾松苗木脯氨酸及游离氨基酸含量的影响[J].湖南林业科技,2017,44(1):14-18. |
| Liu J B.Effect of drought stress on the contents of proline and free amino acid in masson pine seedlings[J].Hunan Forestry Science & Technology,2017,44(1):14-18. | |
| 31 | 夏海威,吴娟,黄敏.外源鸟氨酸对菹草(Potamogeton crispus L.)抗镉胁迫能力的影响[J].湖泊科学,2014,26(02):288-296. |
| XIA H W,W J,H M,Effects of exogenous ornithine on resistance of Potamogeton crispus L.to cadmium stress[J],Journal of Lake Sciences,2014,26(02):288-296.4. | |
| 32 | 朱虹,祖元刚,王文杰,等.逆境胁迫条件下脯氨酸对植物生长的影响[J].星空游戏免费版下载学报,2009,37(4):86-89. |
| Zhu H,Zu Y G,Wang W J,et al.Effect of proline on plant growth under different stress conditions[J].Journal of Northeast Forestry University,2009,37(4):86-89. | |
| 33 | 包雨卓,杨宁,苍晶,等.冬小麦东农冬麦1号在不同温度下的代谢组学差异分析[J].麦类作物学报,2017,37(5):647-655. |
| Bao Y Z,Yang N,Cang J,et al.Metabolomic profiling of winter wheat dongnongdongmai 1 grown at different temperatures[J].Journal of Triticeae Crops,2017,37(5):647-655. | |
| 34 | 黄骥,王建飞,张红生.植物戊糖磷酸途径及其两个关键酶的研究进展[J].植物学通报,2004,21(2):139-145. |
| Huang J,Wang J F,Zhang H S.Advances on plant pentose phosphate pathway and its key enzymes[J].Chinese Bulletin of Botany,2004,21(2):139-145. | |
| 35 | 朱明月,杨淼,张玮琪,等.黑龙江穆棱东北红豆杉自然保护区马鹿与狍冬季食性组成的比较[J].星空游戏免费版下载学报,2019,47(5):100-104. |
| Zhu M Y,Yang M,Zhang W Q,et al.Wintering diet of red and roe deer in Heilongjiang Muling Japnaese Yew National Reserve[J].Journal of Northeast Forestry University,2019,47(5):100-104. | |
| 36 | 张欣,高增平.阿魏酸的研究进展[J].中国现代中药,2020,22(01):138-147. |
| Zhang X,Gao Z P.Research Progress in Ferulic Acid[J].Modern Chinese Medicine,2020,22(01)138-147. | |
| 37 | 方紫雯,张夏燕,陶俊,等.阿魏酸对凤丹干旱胁迫的缓解效应[J].植物研究,2020,40(3):353-359. |
| Fang Z W,Zhang X Y,Tao J,et al.Ameliorative effect of ferulic acid on Paeonia ostii under drought stress[J].Bulletin of Botanical Research,2020,40(3):353-359. |
| [1] | 任艳君, 孙宇, 郭晓瑞, 徐明远, 邵文达, 吴可心. 基于GC-MS分析刺五加和短梗五加不同器官的代谢差异特性[J]. 植物研究, 2023, 43(3): 439-446. |
| [2] | 吴艳, 李赛, 吴可心, 穆立蔷. 基于GC-MS的野生和‘鲁赫’刺蔷薇叶片代谢差异研究[J]. 植物研究, 2022, 42(6): 1070-1078. |
| [3] | 潘立本, 闫雪, 刘佳, 吴可心, 刘洋, 刘少冲. 东北林下早春植物开花的生理特征研究[J]. 植物研究, 2022, 42(4): 657-666. |
| [4] | 宋莹, 吴可心, 邵文达, 刘昱利, 刘佳, 刘洋, 唐中华. 刺五加和短梗五加叶片初生代谢的发育特异性调控研究[J]. 植物研究, 2022, 42(2): 268-277. |
| [5] | 樊小红, 王立涛, 安娟艳, 孟冬, 杨清, 赵春建, 杨雨春, 付玉杰. 长白山东北红豆杉生境内针阔混交林直径结构分布研究[J]. 植物研究, 2021, 41(1): 89-97. |
| [6] | 赵春建, 李玉正, 关佳晶, 苏伟然, 田瑶, 王婷婷, 李申, 李春英. 东北红豆杉—无花果复合种植对两种植物生长和土壤酶活性影响[J]. 植物研究, 2020, 40(5): 679-685. |
| [7] | 朱小洁, 周翔宇, 范航, 高喜凤, 杨蕾. 9种唇形科芳香植物挥发性萜类成分的比较分析[J]. 植物研究, 2020, 40(5): 696-705. |
| [8] | 智慧, 艾丹, 吴可心, 郭云, 徐明远, 唐中华. 基于GC-MS代谢组学技术委陵菜与星毛委陵菜的初生代谢比较研究[J]. 植物研究, 2020, 40(5): 718-727. |
| [9] | 谭永佳, 高翠芳, 陈学林. 不同海拔细叶亚菊挥发油成分的比较[J]. 植物研究, 2020, 40(5): 782-788. |
| [10] | 董明珠, 王立涛, 吕慕洁, 孟冬, 杨春雨, 赵春建, 付玉杰, 杨清. 濒危植物野生东北红豆杉群落特征及保护策略[J]. 植物研究, 2020, 40(3): 416-423. |
| [11] | 尹明华, 邓红根, 蒋妍, 万琳, 吴丽霞, 凌飞, 汪金华. 黄独微型块茎低温离体保存的GC/MS代谢组学分析[J]. 植物研究, 2018, 38(2): 238-246. |
| [12] | 刘彤1;徐浩玉1;金慧颖1;张玉红2;周志强2*. 不同光照条件下东北红豆杉幼苗叶绿素荧光特性日变化[J]. 植物研究, 2015, 35(6): 848-853. |
| [13] | 葛丽娜;韩雪;任珂珂;章甫;彭永宇;毕淑峰*. 火棘花挥发油化学成分的GC-MS分析及抗氧化活性研究[J]. 植物研究, 2014, 34(2): 276-281. |
| [14] | 支海娟;孙海峰;支鹏;李震宇*;秦雪梅. 基于NMR的植物代谢组学技术研究款冬花蕾动态化学成分变化[J]. 植物研究, 2012, 32(4): 458-466. |
| [15] | 惠宇;孙墨珑*. 兴安杜鹃叶中挥发性成分的GC-MS分析[J]. 植物研究, 2012, 32(3): 365-368. |
| 阅读次数 | ||||||
|
全文 |
|
|||||
|
摘要 |
|
|||||