植物研究 ›› 2021, Vol. 41 ›› Issue (5): 824-835.doi: 10.7525/j.issn.1673-5102.2021.05.021
李钰1, 杨晓1, 叶霄1, 邓洁琼1, 黄位年1, 代沙2(
)
收稿日期:2020-08-11
出版日期:2021-09-20
发布日期:2021-07-05
通讯作者:
代沙
E-mail:daisweet@foxmail.com
作者简介:李钰(1988—),女,助理研究员,主要从事中药材遗传育种方面的研究。
基金资助:
Yu LI1, Xiao YANG1, Xiao YE1, Jie-Qiong DENG1, Wei-Nian HUANG1, Sha DAI2(
)
Received:2020-08-11
Online:2021-09-20
Published:2021-07-05
Contact:
Sha DAI
E-mail:daisweet@foxmail.com
About author:LI Yu(1987—),female,assistant researcher,mainly engaged in research on genetic breeding of Chinese medicinal materials.
Supported by:摘要:
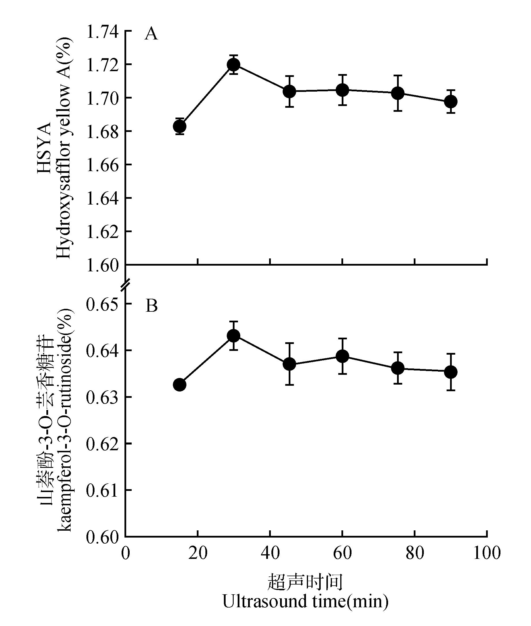
采用HPLC-UV测定红花提取物中黄酮类成分含量,确定评价指标,通过单因素试验设计,筛选红花活性成分提取方法;利用Box-Behnken试验设计原理,以花瓣中主要黄酮类成分为响应值,以单因素结果所选因素为自变量,建立响应面分析试验模型,优化提取工艺。红花花瓣中主要黄酮类成分为羟基红花黄色素A和山奈酚-3-O-芸香糖苷,占比85%以上;红花活性成分提取方法应采用超声提取法,响应面优化的最佳提取条件为:料液比0.1∶25 g·mL-1、超声温度70℃、超声时间45 min、溶剂为57%甲醇、超声功率177 W,在该最优条件下红花黄色素A提取率为1.74%,山奈酚-O-β-芸香糖苷提取率为1.53%。该方法羟基红花黄色素A提取率比药典中提取方法显著提高,其余黄酮类成分提取率也呈极显著增加。
中图分类号:
李钰, 杨晓, 叶霄, 邓洁琼, 黄位年, 代沙. 超声辅助提取红花中主要活性成分的工艺优化[J]. 植物研究, 2021, 41(5): 824-835.
Yu LI, Xiao YANG, Xiao YE, Jie-Qiong DENG, Wei-Nian HUANG, Sha DAI. Optimization on the Main Active Components Extraction Using Ultrasonic-assisted Method from Safflower[J]. Bulletin of Botanical Research, 2021, 41(5): 824-835.
表3
响应面试验方案与结果
序号 No. | X1 | X2 | X3 | X4 | X5 | 羟基红花黄色素A Hydroxysafflor yellow A(%) | 山奈酚-3-O-芸香糖苷 Kaempferol-3-O-rutinoside(%) |
|---|---|---|---|---|---|---|---|
| 1 | 0 | 0 | 1 | 1 | 0 | 1.06 | 0.95 |
| 2 | 1 | 0 | 0 | 1 | 0 | 0.90 | 0.88 |
| 3 | 0 | -1 | 1 | 0 | 0 | 1.57 | 1.46 |
| 4 | 0 | 1 | -1 | 0 | 0 | 1.59 | 1.48 |
| 5 | 0 | 0 | 0 | -1 | -1 | 1.59 | 1.11 |
| 6 | 0 | 0 | -1 | 0 | -1 | 1.63 | 1.49 |
| 7 | 0 | 0 | -1 | 1 | 0 | 1.03 | 0.94 |
| 8 | 1 | 0 | -1 | 0 | 0 | 1.60 | 1.46 |
| 9 | 0 | -1 | 0 | 1 | 0 | 0.97 | 0.89 |
| 10 | 0 | 0 | 1 | 0 | 1 | 1.58 | 1.49 |
| 11 | 0 | 0 | 1 | -1 | 0 | 1.57 | 1.28 |
| 12 | 1 | 0 | 0 | 0 | 1 | 1.60 | 1.47 |
| 13 | 0 | -1 | -1 | 0 | 0 | 1.58 | 1.48 |
| 14 | 0 | 0 | 0 | 0 | 0 | 1.63 | 1.49 |
| 15 | 0 | 1 | 0 | 0 | -1 | 1.60 | 1.48 |
| 16 | 0 | 0 | -1 | 0 | 1 | 1.59 | 1.46 |
| 17 | 1 | 0 | 1 | 0 | 0 | 1.62 | 1.55 |
| 18 | 0 | 0 | -1 | -1 | 0 | 1.51 | 1.42 |
| 19 | 0 | 0 | 0 | 0 | 0 | 1.58 | 1.48 |
| 20 | -1 | 0 | -1 | 0 | 0 | 1.59 | 1.48 |
| 21 | 0 | 1 | 0 | 1 | 0 | 1.04 | 0.93 |
| 22 | 1 | 0 | 0 | 0 | -1 | 1.57 | 1.46 |
| 23 | 0 | 1 | 1 | 0 | 0 | 1.64 | 1.50 |
| 24 | -1 | 0 | 0 | -1 | 0 | 1.59 | 1.42 |
| 25 | 0 | -1 | 0 | -1 | 0 | 1.57 | 1.09 |
| 26 | -1 | 1 | 0 | 0 | 0 | 1.65 | 1.48 |
| 27 | 1 | 0 | 0 | -1 | 0 | 1.50 | 1.39 |
| 28 | 0 | 1 | 0 | -1 | 0 | 1.61 | 1.07 |
| 29 | 0 | 0 | 0 | 0 | 0 | 1.58 | 1.50 |
| 30 | 0 | 0 | 0 | -1 | 1 | 1.44 | 0.97 |
| 31 | 0 | 0 | 0 | 0 | 0 | 1.55 | 1.49 |
| 32 | -1 | 0 | 0 | 0 | -1 | 1.66 | 1.51 |
| 33 | -1 | -1 | 0 | 0 | 0 | 1.66 | 1.49 |
| 34 | 0 | 0 | 0 | 1 | -1 | 0.91 | 0.91 |
| 35 | -1 | 0 | 0 | 1 | 0 | 1.30 | 1.08 |
| 36 | 1 | -1 | 0 | 0 | 0 | 1.57 | 1.46 |
| 37 | 0 | 0 | 1 | 0 | -1 | 1.72 | 1.62 |
| 38 | 0 | 0 | 0 | 1 | 1 | 1.03 | 0.95 |
| 39 | 0 | 0 | 0 | 0 | 0 | 1.58 | 1.50 |
| 40 | 1 | 1 | 0 | 0 | 0 | 1.58 | 1.48 |
| 41 | -1 | 0 | 0 | 0 | 1 | 1.62 | 1.50 |
| 42 | 0 | 1 | 0 | 0 | 1 | 1.60 | 1.50 |
| 43 | 0 | 0 | 0 | 0 | 0 | 1.54 | 1.49 |
| 44 | 0 | -1 | 0 | 0 | 1 | 1.56 | 1.46 |
| 45 | -1 | 0 | 1 | 0 | 0 | 1.72 | 1.56 |
| 46 | 0 | -1 | 0 | 0 | -1 | 1.57 | 1.46 |
表4
HSYA优化回归模型方差分析
方差来源 Source | 自由度 Degree of freedom | 偏差平方和 Deviation sum of squares | 均方差 Mean square | F值 F-value | P值 P value |
|---|---|---|---|---|---|
| 模型Model | 9 | 2.23 | 0.25 | 121.43 | <0.000 1 |
| X1 | 1 | 0.045 | 0.045 | 22.17 | <0.000 1 |
| X3 | 1 | 0.008 1 | 0.008 1 | 3.98 | 0.053 7 |
| X4 | 1 | 1.07 | 1.07 | 525.96 | <0.000 1 |
| X5 | 1 | 0.003 306 | 0.003 306 | 1.62 | 0.210 8 |
| X1X4 | 1 | 0.024 | 0.024 | 11.80 | 0.001 5 |
| X4X5 | 1 | 0.018 | 0.018 | 8.95 | 0.005 0 |
| X12 | 1 | 0.013 | 0.013 | 6.33 | 0.016 4 |
| X32 | 1 | 0.006 324 | 0.006 324 | 3.11 | 0.086 5 |
| X42 | 1 | 0.93 | 0.93 | 455.43 | <0.000 1 |
| 纯误差Pure error | 5 | 0.004 933 | 0.0 009 867 | ||
| 失拟相Lack of fit | 31 | 0.068 | 0.002 206 | 2.24 | 0.188 1 |
| 总和Sum total | 45 | 2.3 | |||
回归系数R2 Regression coefficient | 0.968 1 | ||||
信噪比 Signal-noise ratio | 37.861 | ||||
| CV(%) | 3.02 |
表5
山奈酚-3-O-芸香糖苷优化回归模型方差分析
方差来源 Source | 自由度 Degree of freedom | 偏差平方和 Deviation sum of squares | 均方差 Mean square | F值 F-value | P值 P value |
|---|---|---|---|---|---|
| 模型Model | 6 | 2.12 | 0.11 | 53.38 | <0.000 1 |
| X2 | 1 | 0.001 056 | 0.001 056 | 0.17 | 0.678 5 |
| X4 | 1 | 0.31 | 0.31 | 50.86 | <0.000 1 |
| X5 | 1 | 0.003 6 | 0.003 6 | 0.59 | 0.445 4 |
| X22 | 1 | 0.033 | 0.033 | 5.38 | 0.025 7 |
| X42 | 1 | 1.8 | 1.8 | 296.94 | <0.000 1 |
| X52 | 1 | 0.021 | 0.021 | 3.54 | 0.067 2 |
| 纯误差Pure error | 5 | 0.0 002 833 | 0.00 005 667 | ||
| 失拟相Lack of fit | 34 | 0.24 | 0.006 939 | 122.46 | <0.000 1 |
| 总和Sum total | 45 | 2.36 | |||
回归系数R2 Regression coefficient | 0.899 8 | ||||
信噪比 Signal-noise ratio | 20.782 | ||||
| CV(%) | 5.77 |
| 1 | Huang L L,Yang X,Sun P,et al.The first Illumina-based De novo transcriptome sequencing and analysis of safflower flowers[J].PLoS One,2012,7(6):e38653. |
| 2 | 姜建双.红花化学成分及生物活性研究[D].北京:北京协和医学院,2008. |
| Jiang J S.Studies on the chemical constituents and bioactivities of Carthamus tinctorius L.[D].Beijing:Chinese Academy of Medical Sciences & Peking Union Medical College,2008. | |
| 3 | 宗晓菲.红花中黄酮类化合物的分离、提取及抗炎和抗氧化活性研究[D].长春:长春师范大学,2013. |
| Zong X F.Studies on the extraction,isolation and antioxidative,anti-inflammatory activities of the flavonoids from Carthamus tinctorius L.[D].Changchun:Changchun Normal University,2013. | |
| 4 | Abbasi-Maleki S,Mousavi Z.Hydroethanolic extract of Carthamus tinctorius induces antidepressant-like effects:modulation by dopaminergic and serotonergic systems in tail suspension test in mice[J].Iranian Journal of Basic Medical Sciences,2017,20(9):1063-1073. |
| 5 | Delshad E,Yousefi M,Sasannezhad P,et al.Medical uses of Carthamus tinctorius L.(safflower):a comprehensive review from traditional medicine to modern medicine[J].Electronic Physician,2018,10(4):6672-6681. |
| 6 | Fu P K,Pan T L,Yang C Y,et al.Carthamus tinctorius L.ameliorates brain injury followed by cerebral ischemia-reperfusion in rats by antioxidative and anti-inflammatory mechanisms[J].Iranian Journal of Basic Medical Sciences,2016,19(12):1368-1375. |
| 7 | 姜华.羟基红花黄色素A对大鼠脑缺血-再灌注损伤的保护作用及机制[J].中药材,2013,36(3):462-464. |
| Jiang H.Protective effect and mechanism of hydroxyl safflower yellow A on paeoniflorin on cerebral ischemia reperfusion injury in rats[J].Journal of Chinese Medicinal Materials,2013,36(3):462-464. | |
| 8 | 盛雨辰,夏玉叶,闵旸.羟基红花黄色素A对局灶性脑缺血后大鼠脑组织诱导型一氧化氮合酶的影响[J].中国药理学通报,2006,22(9):1134-1137. |
| Sheng Y C,Xia Y Y,Min Y.Effects of hydroxysafflor yellow a on iNOS expression in rats of focal cerebral ischemic injury[J].Chinese Pharmacological Bulletin,2006,22(9):1134-1137. | |
| 9 | Sun L,Yang L,Fu Y,et al.Capacity of HSYA to inhibit nitrotyrosine formation induced by focal ischemic brain injury[J].Nitric Oxide,2013,35:144-151. |
| 10 | 袁琴琴,刘文营.红花生物活性成分及功能特性研究进展[J].食品工业科技,2020,41(3):332-338,344. |
| Yuan Q Q,Liu W Y.Research progress on the active components and functional properties of safflower(Carthamus tinctorius L.)[J].Science and Technology of Food Industry,2020,41(3):332-338,344. | |
| 11 | 马梦雪,吴士筠,李刚,等.HPLC法同时测定不同品种红花中4种黄酮类[J].中成药,2019,41(11):2694-2700. |
| Ma M X,Wu S J,Li G,et al.Simultaneous determination of four flavonoids in Carthamus tinotorius of different varieties by HPLC[J].Chinese Traditional Patent Medicine,2019,41(11):2694-2700. | |
| 12 | 刘飞.红花黄酮类化合物生物合成途径关键酶基因的克隆与功能验证[D].上海:第二军医大学,2014. |
| Liu F.Cloning and functional identification of the genes encoding the key enzymes in the biosynthetic pathway of flavonoids in safflower[D].Shanghai:The Second Military Medical University,2014. | |
| 13 | 薛英茹.红花黄酮类生物合成途径查尔酮合酶基因的功能研究[D].上海:第二军医大学,2017. |
| Xue Y R.Flavonoids biosynthesis pathway chalcone synthase genes function research in Carthamus tinctorius L.[D].Shanghai:The Second Military Medical University,2017. | |
| 14 | 郭丹丹.红花黄酮类成分生物合成途径关键基因的特征和功能研究[D].上海:中国人民解放军海军军医大学,2019. |
| Guo D D.Characterization and function study of key genes involved in flavonoid biosynthetic pathway in Carthamus tinctorius L.[D].Shanghai:The Second Military Medical University,2019. | |
| 15 | 李娜,鲁晓翔.微波提取红花黄酮类化合物的研究[J].中国酿造,2010,(7):105-109. |
| Li N,Lu X X.Microware-assisted extraction of flavonoids from safflower[J].China Brewing,2010,(7):105-109. | |
| 16 | 李艳芝,王建安,张波,等.正交试验法优化红花中黄酮的提取工艺[J].中国医药导报,2009,6(19):86-87. |
| Li Y Z,Wang J A,Zhang B,et al.Orthogonal test for optimization of flavone extracting procedure from Carthamus tinctorius L.[J].China Medical Herald,2009,6(19):86-87. | |
| 17 | 张戈,郭美丽,李颖,等.不同品种红花黄酮类成分的HPLC含量测定及其遗传稳定性研究[J].中草药,2004,35(12):1411-1414. |
| Zhang G,Guo M L,Li Y,et al.Determination of flavonoids in Carthamus tinotorius and its genetic stability from different varieties by HPLC[J].Chinese Traditional and Herbal Drugs,2004,35(12):1411-1414. | |
| 18 | 伊丽娜,晶晶,特日格乐,等.HPLC法测定红花茎叶中三种化学成分的含量[J].世界最新医学信息文摘,2017,17(58):111-112. |
| Yi L N,Jing J,Teri G L,et al.Determination the content of three kinds of chemical composition in safflower stem leaf of Carthamus tinctorius L by HPLC[J].World Latest Medicine Information(Electronic Version),2017,17(58):111-112. | |
| 19 | Rokita B,Czechowska-Biskup R,Ulanski P,et al.Modification of polymers by ultrasound treatment in aqueous solution[J].E-Polymers,2005,5(1):261. |
| 20 | Zhang J,Guo F.Statistical modification analysis of helical planetary gears based on response surface method and Monte Carlo simulation[J].Chinese Journal of Mechanical Engineering,2015,28(6):1194-1203. |
| 21 | Liu Q D,Qin K M,Shen B J,et al.Optimization of the processing technology of Fructus Arctii by response surface methodology[J].Chinese Journal of Natural Medicines,2015,13(3):222-231. |
| 22 | Zhang A H,Du G K,Xiao Z H,et al.Study on optimization of Tung oil bleaching and refining process using response surface methodology[C].//Proceedings of the 2018 2nd International Workshop on Renewable Energy and Development(IWRED 2018).Guilin:GSRA,2018:226-232. |
| 23 | Prokop E J,Crigler J R,Wells C M,et al.Response surface modeling for hot,humid air decontamination of materials contaminated with Bacillus anthracis Sterne and Bacillus thuringiensis Al Hakam spores[J].AMB Express,2014,4:21. |
| 24 | Fan L,Zhao H Y,Xu M,et al.Qualitative evaluation and quantitative determination of 10 major active components in Carthamus tinctorius L. by high-performance liquid chromatography coupled with diode array detector[J].Journal of Chromatography A,2009,1216(11):2063-2070. |
| 25 | Asgarpanah J,Kazemivash N.Phytochemistry,pharmacology and medicinal properties of Carthamus tinctorius L.[J].Chinese Journal of Integrative Medicine,2013,19(2):153-159. |
| 26 | Machewad G M,Ghatge P,Chappalwar V,et al.Studies on extraction of safflower pigments and its utilization in ice cream[J].Food Processing & Technology,2012,3(8):1000172. |
| [1] | 朱翰林, 赵恒, 翟博文, 张卯玉, 付玉杰. 超声辅助酶解提取五味子多糖及其抗细胞氧化应激研究[J]. 植物研究, 2023, 43(4): 631-640. |
| [2] | 张宏斌, 吕东, 赵明, 赵祜, 赵兴鹏, 李伟. 基于全基因组SNP分子标记分析青海云杉遗传结构[J]. 植物研究, 2022, 42(3): 373-382. |
| [3] | 杨晨, 姚雪莹, 陈志祥, 王奇志. 红花变豆菜叶绿体基因组结构及同属种间关系研究[J]. 植物研究, 2022, 42(3): 437-445. |
| [4] | 王桢, 杨柳燕, 裴卫忠, 李心, 杨贞, 张永春. 西红花FT同源基因的表达及功能分析[J]. 植物研究, 2022, 42(2): 224-233. |
| [5] | 钟世浚, 张碧东, 赖世婷, 刘华敏. 红花龙胆组培快繁体系研究[J]. 植物研究, 2021, 41(5): 753-759. |
| [6] | 高媛, 邢文馨, 王慧梅. 大孔树脂纯化岩高兰多酚的工艺研究[J]. 植物研究, 2021, 41(4): 626-632. |
| [7] | 张晓南, 朱鸿维, 赵善舶, 白晨, 石雅楠, 徐浩朋, 尹恋, 胡淑敏, 尹花. 响应面优化超声辅助法提取拐枣种子中二氢杨梅素的工艺[J]. 植物研究, 2020, 40(5): 775-781. |
| [8] | 孟瑶, 余莲, 秦祥宇, 刘畅, 王泽霖, 赵春建, 付玉杰. 阴阳离子表面活性剂对无花果叶中有效成分提取工艺优化及初步功能评价[J]. 植物研究, 2020, 40(5): 789-794. |
| [9] | 朱亚伟, 王立涛, 安娟艳, 吕慕洁, 孙建航, 郭娜, 付玉杰. 响应面优化酶解—微波辅助提取桑叶多糖的工艺研究[J]. 植物研究, 2020, 40(4): 635-640. |
| [10] | 李影, 李林夕, 张玉琦, 王宇, 詹亚光, 尹静. 一种高效的白桦树皮中白桦脂醇分离、纯化方法[J]. 植物研究, 2020, 40(3): 468-475. |
| [11] | 赵敏, 郝文颖, 宁心哲, 郝龙飞, 闫海霞, 牟亚男, 白淑兰. 红花尔基樟子松优良抗旱菌树组合的筛选[J]. 植物研究, 2020, 40(1): 133-140. |
| [12] | 邢文淼, 陈民, 冯昌寅, 孟宪明, 田梦飞, 牟璠松, 罗猛. 超声辅助酸水解提取山里红叶中牡荆素的工艺优化[J]. 植物研究, 2020, 40(1): 148-152. |
| [13] | 袁德成, 王菲, 崔新爽, 李晓雪, 杨逢建. 水酶法提取紫苏籽油脂工艺[J]. 植物研究, 2019, 39(4): 619-626. |
| [14] | 张力凡, 薛煜, 王岩, 杨光鑫, 杨光, 邸雪颖. 樟子松乙醇提取物体外抗氧化活性研究[J]. 植物研究, 2019, 39(3): 458-465. |
| [15] | 姜守刚, 谭笑, 吴磊, 吴比, 袁颖洁, 祖元刚. 向日葵茎芯多糖的提取工艺优化及其体外抗肿瘤活性研究[J]. 植物研究, 2018, 38(5): 795-800. |
| 阅读次数 | ||||||
|
全文 |
|
|||||
|
摘要 |
|
|||||