欢迎访问《植物研究》杂志官方网站,今天是 分享到:

植物研究 ›› 2023, Vol. 43 ›› Issue (1): 30-35.doi: 10.7525/j.issn.1673-5102.2023.01.004

• 遗传与育种 • 上一篇    下一篇

白桦BpSPL9基因抑制表达载体的构建及遗传转化研究

杜金霞1, 申婷婷3, 王浩然3, 林一萍3, 李慧玉3, 张连飞2()   

  1. 1.长春职业技术学院 现代农学院,长春 130000
    2.黑龙江省庆安国有林场管理局,哈尔滨 150000
    3.星空游戏免费版下载,哈尔滨 150000
  • 收稿日期:2022-05-24 出版日期:2023-01-20 发布日期:2022-12-23
  • 通讯作者: 张连飞 E-mail:zhanlianfei@163.com
  • 作者简介:杜金霞(1981—),女,硕士研究生,主要从事林业资源开发与繁育研究。
  • 基金资助:
    2021年度吉林省职业教育与成人教育教学改革研究课题项目(2021ZCY225);“十三五”国家重点研发课题项目(2017YFD0600603)

Construction of Suppression Expression Vector and Genetic Transformation of BpSPL9 gene from Betula platyphylla

Jinxia DU1, Tingting SHEN3, Haoran WANG3, Yiping LIN3, Huiyu LI3, Lianfei ZHANG2()   

  1. 1.Changchun Polytechnic Modern Agricultural College,Changchun 130118
    2.Anqing national forest authority of Heilongjiang,Harbin 150699
    3.Northeast Forestry University,Harbin 150000
  • Received:2022-05-24 Online:2023-01-20 Published:2022-12-23
  • Contact: Lianfei ZHANG E-mail:zhanlianfei@163.com
  • About author:DU Jinxia(1981—),female,master,mainly engaged in development and breeding of forestry resources.
  • Supported by:
    Research project on teaching reform of vocational education and adult education in Jilin Province in 2021(2021ZCY225);National key research and development projects in the 13th five year plan(2017YFD0600603)

摘要:

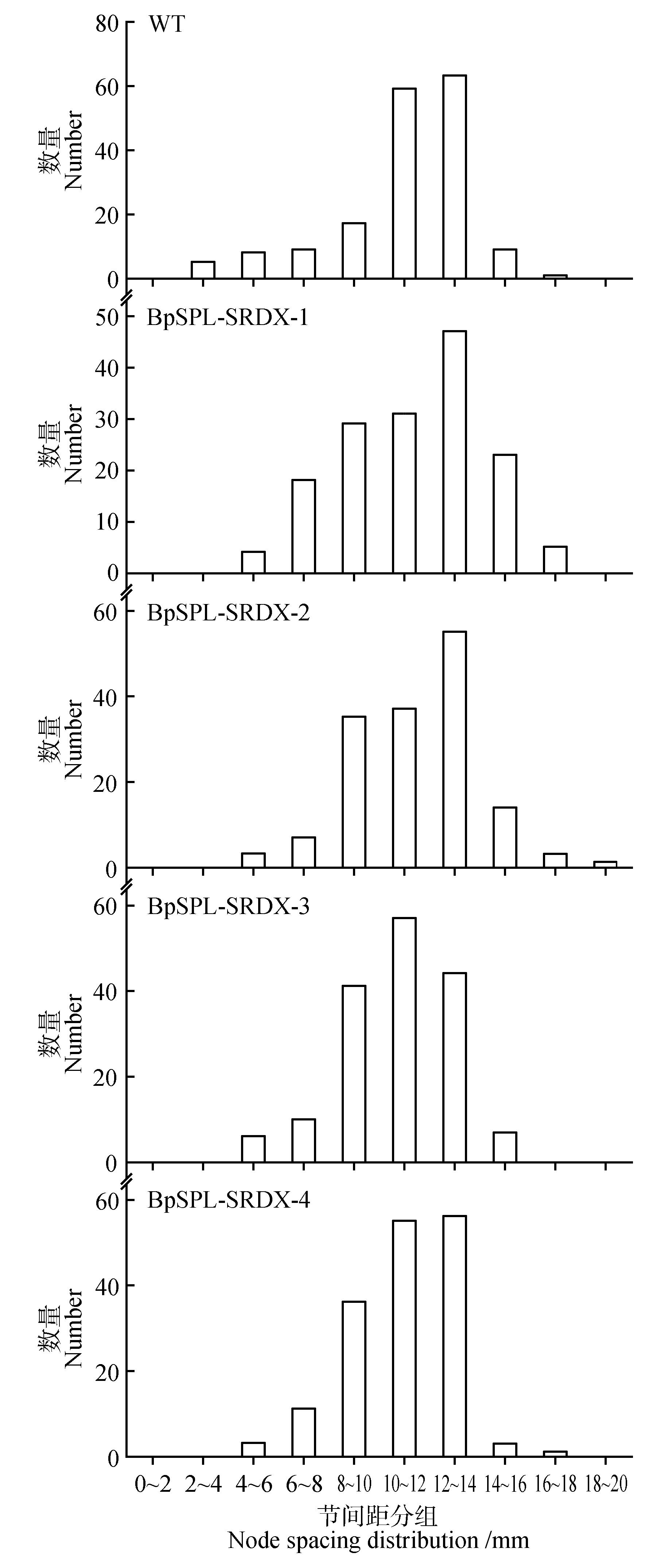
为揭示SPL基因在白桦(Betula platyphylla)生长和发育中的功能,在克隆白桦BpSPL9基因的基础上,采用CREST技术构建BpSPL9的抑制表达载体,通过农杆菌(Agrobacterium tumefaciens)介导法进行白桦的遗传转化,对获得的转基因株系进行表型观测,探究BpSPL9基因的功能。结果表明:已成功获得了BpSPL9抑制表达白桦株系。转基因株系的苗高显著低于非转基因对照株系,节间距变短,叶面积变小,转基因株系的细胞分裂素(6-BA)和生长素(IAA)含量均低于对照株系。推测BpSPL9基因通过影响生长素和细胞分裂的合成,从而参与植物的生长发育过程。

关键词: 白桦, SPL9, CREST, 遗传转化

Abstract:

To clarify the function of SPL gene in growth and development of Betula platyphylla,the BpSPL9 gene was cloned, and the expression vector of BpSPL9 was constructed by CREST technology, and the genetic transformation was carried out by Agrobacterium mediated method, and the phenotype of the transgenic lines was observed, respectively. The results showed that the transgenic lines with BpSPL9 suppressed were successfully obtained. The height of transgenic lines was significantly lower than that of non-transgenic lines, with shorter node spacing and smaller leaf area. The contents of 6-BA and IAA in transgenic lines were lower than those of the non-transgenic lines. It is speculated that BpSPL9 gene participated in plant growth and development by affecting the synthesis of auxin and cell division.

Key words: Betula platyphylla, SPL9, CREST, genetic transformation

中图分类号: 

Baidu
map