欢迎访问《植物研究》杂志官方网站,今天是 分享到:

植物研究 ›› 2023, Vol. 43 ›› Issue (3): 379-387.doi: 10.7525/j.issn.1673-5102.2023.03.007

• 生理与生态 • 上一篇    下一篇

水杨酸在白桦苗期抵御盐碱胁迫中的调控作用

王景哲1, 牛朝奎1, 梁馨元1, 申晨静1, 尹静1,2()   

  1. 1.星空游戏免费版下载生命科学学院,哈尔滨 150040
    2.星空游戏免费版下载东北盐碱植被恢复与重建教育部重点实验室,哈尔滨 150040
  • 收稿日期:2022-11-01 出版日期:2023-05-20 发布日期:2023-05-11
  • 通讯作者: 尹静 E-mail:yinjing20135@163.com
  • 作者简介:王景哲(2001—),女,本科,主要从事植物耐盐碱性及次生产物调控研究。
  • 基金资助:
    大学生创新创业训练计划项目(202110225518);中央高校基本科研业务费专项基金项目(2572020DY22)

Regulation of Salicylic Acid on Tolerance to Saline Alkali Stress at Seedling Stages of Betula platyphylla

Jingzhe WANG1, Chaokui NIU1, Xinyuan LIANG1, Chenjing SHEN1, Jing YIN1,2()   

  1. 2.College of Life Sciences,Northeast Forestry University,Harbin 150040
    1.Key Laboratory of Saline-alkali Vegetation Ecology Restoration,Ministry of Education,Northeast Forestry University,Harbin 150040
  • Received:2022-11-01 Online:2023-05-20 Published:2023-05-11
  • Contact: Jing YIN E-mail:yinjing20135@163.com
  • About author:WANG Jingzhe(2001—),female,undergraduate,mainly engaged in the research of plant salinity tolerance and secondary production regulation.
  • Supported by:
    Innovation and Entrepreneurship Training Program for College Students(202110225518);Basic Scientific Research Business Expenses of Central Universities(2572020DY22)

摘要:

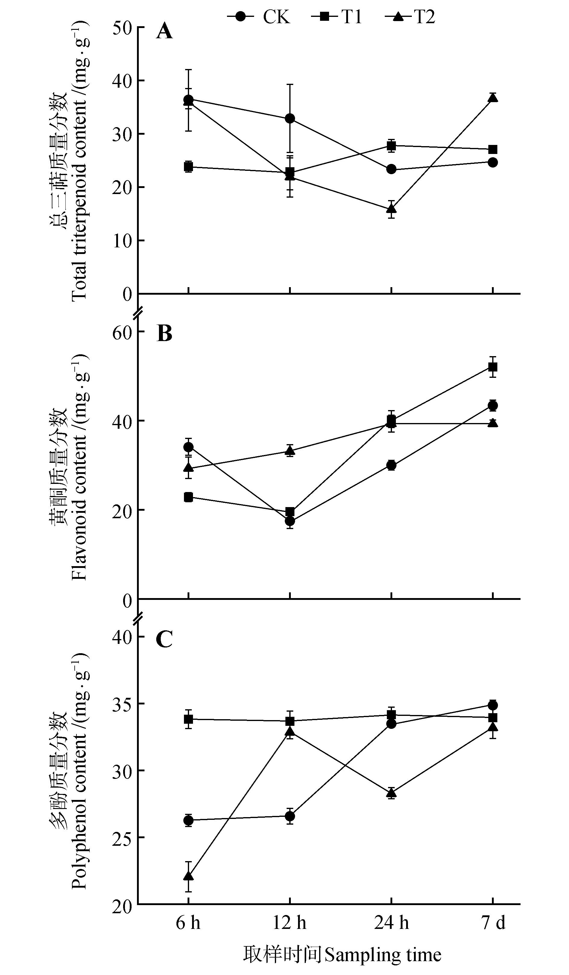
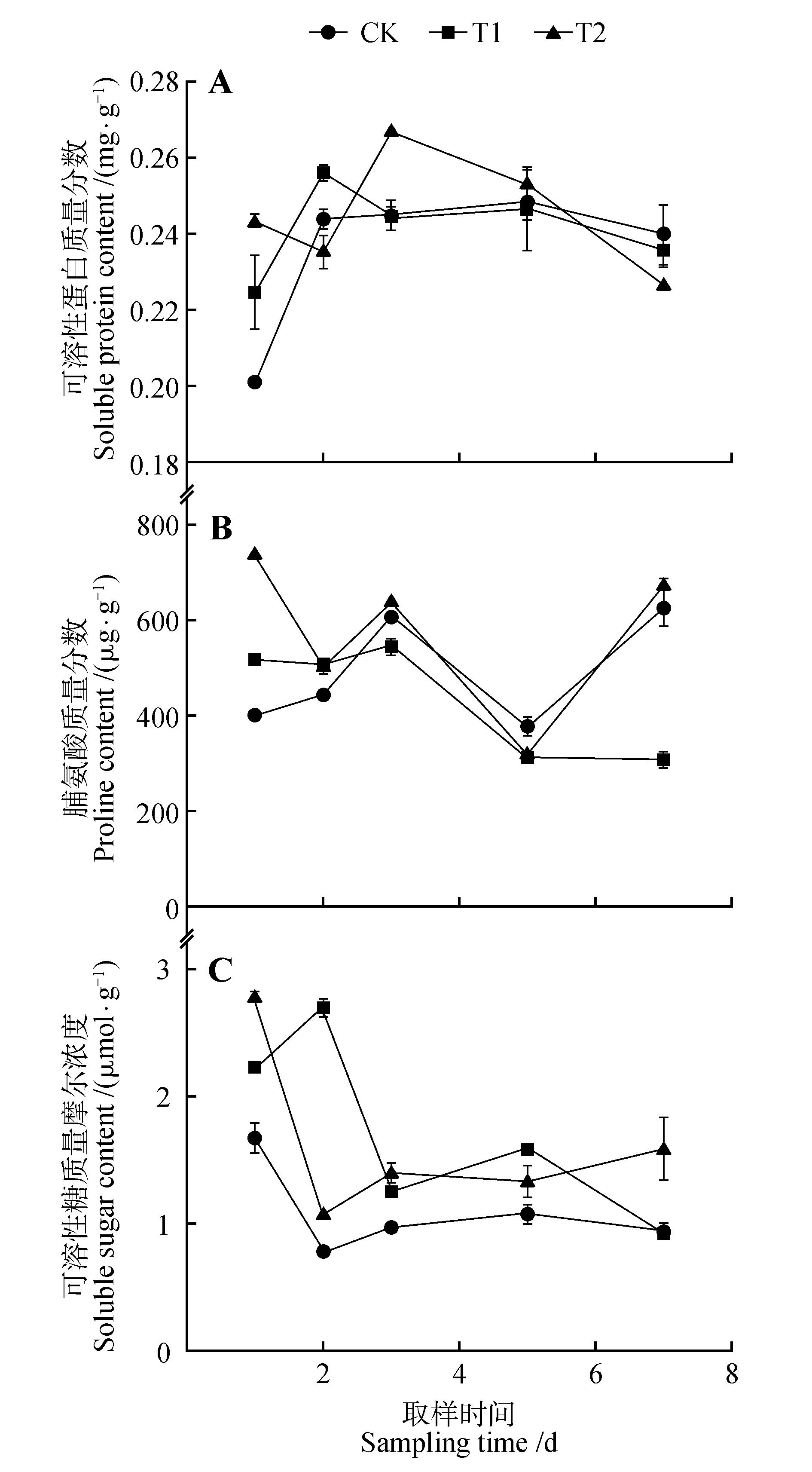
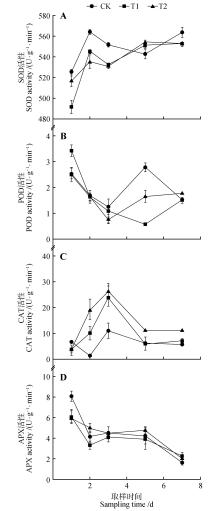
为探究盐碱胁迫下外施水杨酸(SA)对白桦(Betula platyphylla)苗生长及次生产物合成的影响,以白桦幼苗为材料,分别施加3种处理:清水处理(对照),200 mmol·L-1 NaHCO3,200 mmol·L-1 NaHCO3+360 μmol·L-1 SA,检测不同处理条件下的白桦苗中部叶片相对电导率、叶绿素荧光参数、渗透物质含量、抗氧化酶活性和三萜合成途径关键基因的相对表达量,同时检测白桦苗总三萜、黄酮和多酚含量变化。结果表明:①在200 mmol·L-1 NaHCO3胁迫下,再进行360 μmol·L-1 SA处理能够显著降低白桦苗叶片的相对电导率,提高叶绿素荧光参数 Fv/Fm,增加脯氨酸、可溶性蛋白含量,一定程度上增强白桦苗抗氧化酶(SOD、POD、CAT、APX)活性。②200 mmol·L-1 NaHCO3盐碱胁迫促进了白桦苗三萜合成途径关键基因FPSSSSEBPXBPW的表达上调,并在胁迫前期显著促进了白桦苗多酚的合成(P<0.05),在胁迫后期显著促进了总三萜、黄酮物质的积累(P<0.05)。盐碱胁迫下外施SA信号促使白桦苗HMGRFPSSEBPX基因表达上调较为显著,并在胁迫前期促进了黄酮的合成;在胁迫后期SA显著促进了总三萜的积累,第7天比盐碱胁迫组含量提高34%,比清水处理组提高47%。综合来看,盐碱胁迫下,适宜浓度的SA能够通过调节白桦幼苗渗透平衡、缓解光抑制、增强抗氧化防御系统、调控物质代谢等方式提高白桦幼苗的耐盐碱特性。

关键词: 白桦, 水杨酸, 抗盐碱, 次生产物

Abstract:

To investigate the effects of salicylic acid(SA) on growth and secondary production synthesis of Betula platyphylla seedling under saline alkali stress, three treatments were applied to birch seedlings: water treatment(control), 200 mmol·L-1 NaHCO3, 200 mmol·L-1 NaHCO3+360 μmol·L-1 SA. The relative conductivity, chlorophyll fluorescence parameters, osmotic content, anti-stress enzyme activity, the relative expression of key genes of triterpene synthesis pathway in the middle leaves of birch seedlings in response to different treatments were detected respectively, and the total triterpenoids, flavonoids and polyphenols of birch seedlings were analyzed. The results showed that: ①under the 200 mmol·L-1 NaHCO3 treatment, then 360 μmol·L-1 SA treatment significantly reduced the relative conductivity of the leaves of birch seedlings, improved the Fv/Fm value of chlorophyll fluorescence parameters of birch seedlings, increased the content of the osmotic regulator proline and soluble protein, and enhanced the activities of antioxidant enzymes(SOD, POD, CAT, APX) in birch seedlings to a certain extent. ②200 mmol·L-1 NaHCO3 saline alkali stress promoted the upregulation of the expression of key genes of triterpene synthesis pathway FPSSSSEBPX and BPW in birch seedlings, and significantly promoted the synthesis of polyphenols in birch seedlings in the early stage, and significantly promoted the accumulation of total triterpenoids and flavonoids in the late stage of saline-alkali stress(P<0.05). The application of SA under saline-alkali stress promoted the upregulation of HMGRFPSSE, and BPX gene expression in birch seedlings, and promoted the synthesis of flavonoids in the early stage of stress, and significantly promoted the accumulation of total triterpenes in the late stage of stress, which was 34% higher than that of the saline-alkali stress group and 47% higher than that of the water treatment on 7th day. Overall, under saline-alkali stress, SA with suitable concentration improves the tolerance to saline-alkali of birch seedlings by adjusting osmotic equilibrium, alleviating light inhibition, enhancing the antioxidant defense system of birch seedlings, and regulating substance metabolism.

Key words: Betula platyphylla, salicylic acid, tolerance to saline-alkali, secondary production

中图分类号: 

Baidu
map